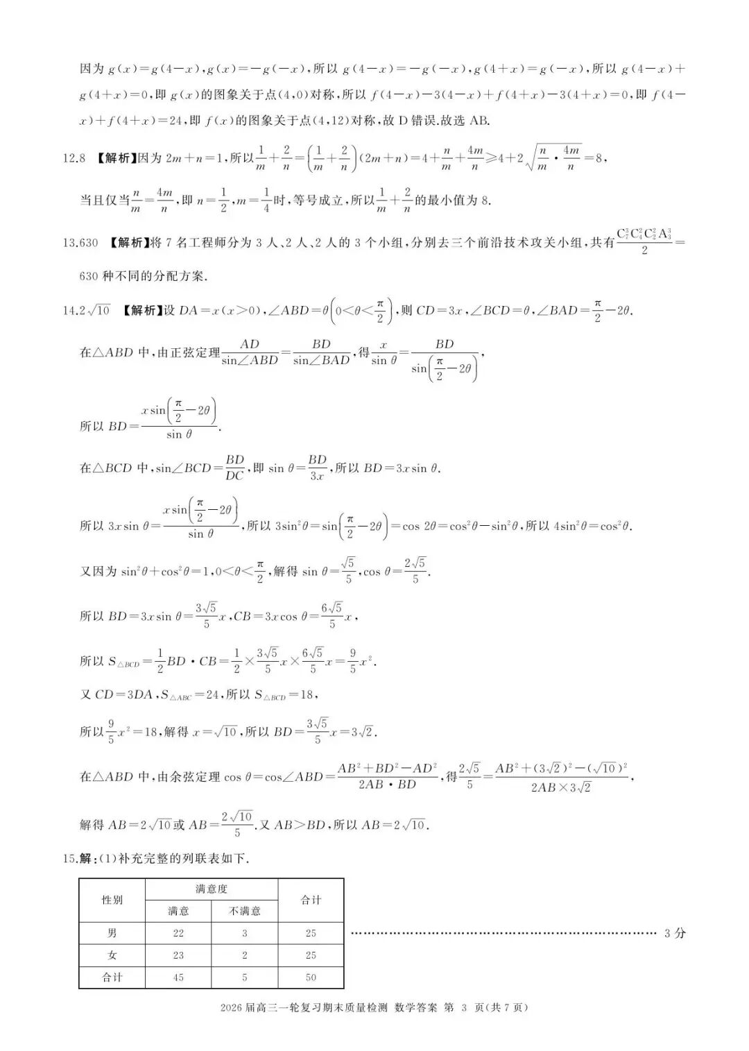
【百师联盟】2026届高三一轮复习期末质量检测试题及答案
2026-02-12 15:58:19文/李影



-
2023年陕西美术统考试题 2023年陕西省普通高校招生艺术类专业课统考美术类专业课试题(速写)公布了,下面就带着大家一起看一下吧!
2022-12-05 -
2023年陕西书法类统考试题 2023年陕西省普通高校招生艺术类专业课统考书法类专业课试题(书法临摹)公布了,下面就带着大家一起看一下吧!
2022-12-05 -
2023年陕西统考素描试题 2023年陕西省普通高校招生艺术类专业课统考美术类专业课试题(素描)公布了,下面就带着大家一起看一下吧!
2022-12-05 -
2023年陕西播音编导类专业统考试题 2023年陕西省普通高校招生艺术类专业课统考播音编导类专业基础课试题公布了,下面就带着大家一起看一下吧!
2022-12-05 -
2025新余学院在河北招生计划及学费 含公费师范生、专项计划和特殊招生 新余学院2025年在河北的招生计划主要包括招生专业、招生人数等信息。其中各专业总招生人数约为30人,学费绝大多数专业为4...
2026-02-12 -
合肥师范学院2027年在上海高考专业选科要求 必选科目有哪些 2027年合肥师范学院在上海的高考选科要求,可参考的信息是上海教育招生考试院已公布了适用于2027年及以后高考的《202...
2026-02-12 -
2026年本科好就业的专业有哪些?这几个理工专业别错过! 2026年本科好就业的专业有哪些?这几个理工专业别错过!理工类专业有明确工作指向,能够为就业打下一定基础。以下是在理工类...
2026-02-12 -
2025湖南三一工业职业技术学院云南各专业招生计划 含中外合作办学、特殊招生、专项计划和公费师范生 湖南三一工业职业技术学院2025年在云南总招生计划约2人,招生计划涵盖了综合类、物理类、历史类以及国家专项计划、中外合作...
2026-02-12
点击查看 蝶变志愿更多内容



