哈三中2026年高三第一次模拟考试下载
2026-03-08 01:32:37文/刘云超

















-
衡水金卷2026届高三年级3月联考全科下载 衡水金卷2026届高三年级3月联考全科下载
2026-03-08 -
【大同一模自做】大同市2026届高三年级第一次模拟考试质量监测试卷及小编整理答案!仅供参考 【大同一模自做】大同市2026届高三年级第一次模拟考试质量监测试卷及小编整理答案!仅供参考
2026-03-07 -
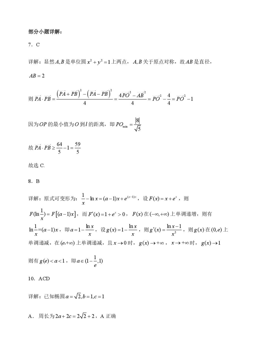
【襄阳一模答案】2026年3月襄阳市高三年级统一调研测试数学试卷及自做答案!仅供参考 【襄阳一模答案】2026年3月襄阳市高三年级统一调研测试数学试卷及自做答案!仅供参考
2026-03-07 -
【全科】黑龙江省哈尔滨第三中学2026年高三学年第一次模拟考试 【全科】黑龙江省哈尔滨第三中学2026年高三学年第一次模拟考试
2026-03-07 -
【全科】2026届山东省烟台市高三下学期一模 【全科】2026届山东省烟台市高三下学期一模
2026-03-07 -
【全科】衡水金卷2026届高三年级3月份学情诊断 【全科】衡水金卷2026届高三年级3月份学情诊断
2026-03-07 -
【全科】辽宁省名校联盟2025-2026学年高三下3月模拟考试 【全科】辽宁省名校联盟2025-2026学年高三下3月模拟考试
2026-03-07 -
【全科】2026年深圳市高三年级第一次调研考试(深圳一模) 【全科】2026年深圳市高三年级第一次调研考试(深圳一模)
2026-03-07
点击查看 蝶变志愿更多内容






