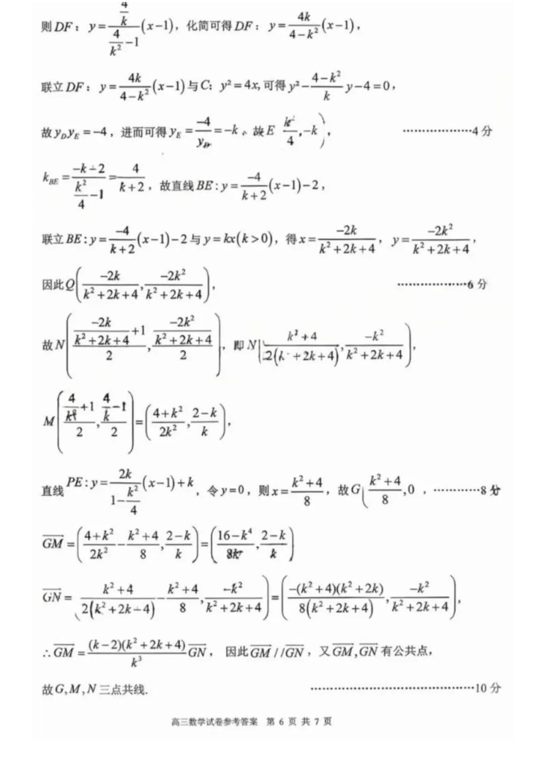
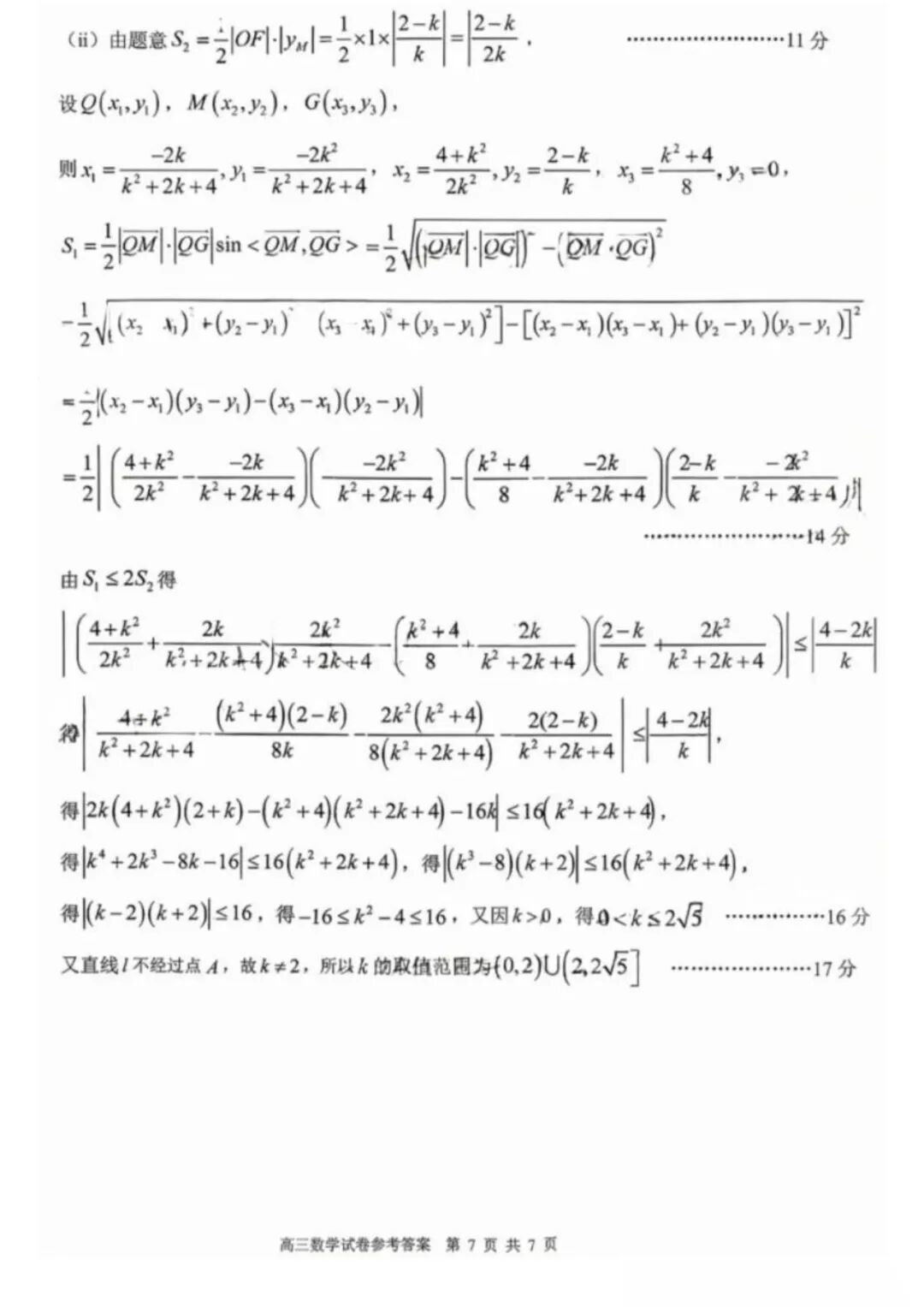
【全科】江西省五市十校协作体2026届高三3月第二次联考
2026-03-30 19:49:30文/李影










-
【全科】标准学术能力诊断性测试2026年3月测试 【全科】标准学术能力诊断性测试2026年3月测试
2026-03-30 -
【全科】重庆育才中学高2026届高三(下)3月月考 【全科】重庆育才中学高2026届高三(下)3月月考
2026-03-30 -
【全科】陕西省咸阳市2026年高考模拟检测(二) 【全科】陕西省咸阳市2026年高考模拟检测(二)
2026-03-30 -
【全科】广东省东莞市2026年高三年级模拟考试(东莞一模) 【全科】广东省东莞市2026年高三年级模拟考试(东莞一模)
2026-03-30 -
【全科】苏北七市(南通,泰州,扬州,淮安,宿迁,连云港,徐州)二模 【全科】苏北七市(南通,泰州,扬州,淮安,宿迁,连云港,徐州)二模
2026-03-30 -
【全科】广西八市2026届高中毕业班3月适应性测试 【全科】广西八市2026届高中毕业班3月适应性测试
2026-03-30 -
【湖北卷】【高二】湖北省云学联盟2025-2026学年高二下学期3月学科素养测评(3.23-3.24) 理科全科试题卷+答案 【湖北卷】【高二】湖北省云学联盟2025-2026学年高二下学期3月学科素养测评(3.23-3.24) 理科全科...
2026-03-30 -
【河南卷】【高二】河南 T-Y 大联考2026年高二年级下学期3月大联考(3.24-3.25) 全科试题卷+答案 【河南卷】【高二】河南 T-Y 大联考2026年高二年级下学期3月大联考(3.24-3.25) 全科试题卷+答案
2026-03-30
点击查看 蝶变志愿更多内容

