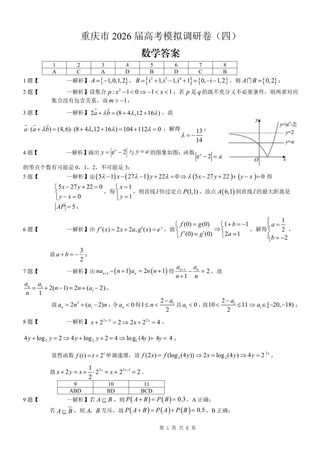
【全科】重庆市2026年普通高等学校招生全国统一考试康德调研(四)
2026-04-01 21:40:12文/芮兴佳








-
【全科】湖南省常德市2026届高三年级3月模拟 【全科】湖南省常德市2026届高三年级3月模拟
2026-04-01 -
【全科】湖南省长沙市第一中学2026届高三下学期3月阶段检测(月考八) 【全科】湖南省长沙市第一中学2026届高三下学期3月阶段检测(月考八)
2026-04-01 -
【全科】2026届湖南天壹名校联盟高三下学期3月质检 【全科】2026届湖南天壹名校联盟高三下学期3月质检
2026-04-01 -
【全科】衡水金卷2026年普通高等学校招生全国统一考试模拟调研卷 【全科】衡水金卷2026年普通高等学校招生全国统一考试模拟调研卷
2026-04-01 -
东北三省三校2026届高三下学期第二次模拟考试 东北三省三校2026届高三下学期第二次模拟考试
2026-04-01 -
【重庆卷】重庆康德四调|重庆市2026年普通高等学校招生全国统一考试康德调研(四)(3.13-3.14) 全科试题卷+答案 【重庆卷】重庆康德四调|重庆市2026年普通高等学校招生全国统一考试康德调研(四)(3.13-3.14) 全科试题卷...
2026-04-01 -
【北京卷】北京市丰台区2025-2026学年度第二学期综合练习(一)(丰台一模)(3.30-4.2) 数学语文英语试题卷+答案 【北京卷】北京市丰台区2025-2026学年度第二学期综合练习(一)(丰台一模)(3.30-4.2) ...
2026-04-01 -
【北京卷】北京市朝阳区2025-2026学年度高三年级第二学期质量检测一(朝阳一模)(3.31-4.3) 数学语文试题卷+答案 【北京卷】北京市朝阳区2025-2026学年度高三年级第二学期质量检测一(朝阳一模)(3.31-4.3) ...
2026-04-01
点击查看 蝶变志愿更多内容



