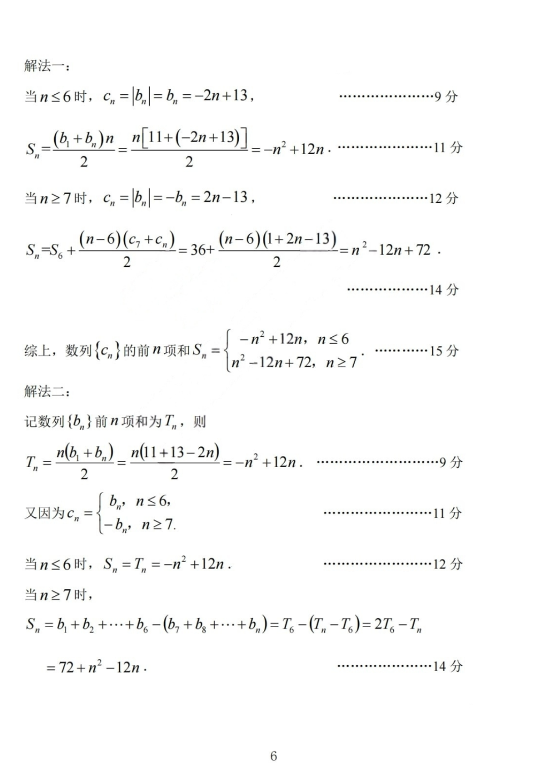
【全科】临汾市高三年级2025-2026学年度第一学期期末考试
2026-02-13 10:00:14文/李响



















-
【全科】湖南省雅礼中学2026届高三2月月考卷(六) 【全科】湖南省雅礼中学2026届高三2月月考卷(六)
2026-02-13 -
【岳阳一模全科】岳阳市2026届高三年级教学质量监测(一) 【岳阳一模全科】岳阳市2026届高三年级教学质量监测(一)
2026-02-13 -
【全科】毫州市普通高中2025—2026学年度第一学期高三期末质量检测 【全科】毫州市普通高中2025—2026学年度第一学期高三期末质量检测
2026-02-13 -
【全科】安徽省鼎尖联考2025-2026学年高三上学期期末过程性学科素质评价 【全科】安徽省鼎尖联考2025-2026学年高三上学期期末过程性学科素质评价
2026-02-13 -
【潍坊一模全科】潍坊市2026届2月高考模拟考试 【潍坊一模全科】潍坊市2026届2月高考模拟考试
2026-02-13 -
【圆创联考全科】2026届湖北省圆创教育高三2月期末考试 【圆创联考全科】2026届湖北省圆创教育高三2月期末考试
2026-02-13 -
【合肥一模全科】2026年合肥市高三第一次教学质量检测 【合肥一模全科】2026年合肥市高三第一次教学质量检测
2026-02-13 -
云南省昆明市2026届高三上学期1月期末摸底诊断测试 云南省昆明市2026届高三上学期1月期末摸底诊断测试
2026-02-13
点击查看 蝶变志愿更多内容





