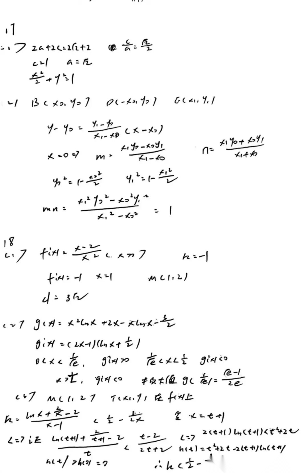
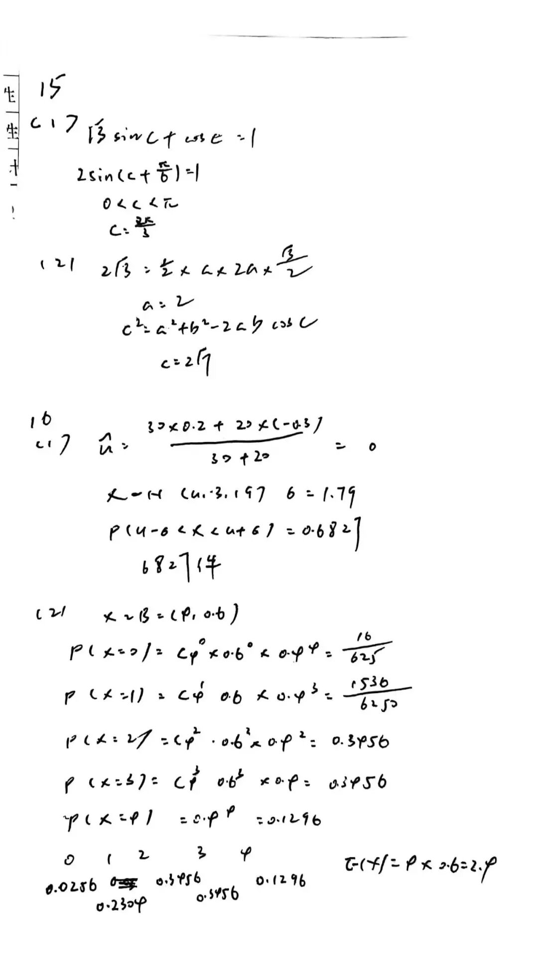
【自做答案】娄底高三一模暨娄底市2026届高三第一次质量检测数学试卷及自做答案!仅供参考,非标准答案!
2026-02-22 15:35:56文/鲁映彤







-
2026百校联盟金考卷预测卷 2026百校联盟金考卷预测卷
2026-02-22 -
【线上联考】【数研杯赛】2026 年冬季“数研杯”高中数学研讨会高三年级模拟考试(2月19日19点-21点) 数学试题卷+参考答案 【线上联考】【数研杯赛】2026 年冬季“数研杯”高中数学研讨会高三年级模拟考试(2月19日19点-21点) ...
2026-02-22 -
【独家春节钜献】【高考物理】【物理模型】高考高中物理33大必考考点模型整理汇编 (167页完整版) 【独家春节钜献】【高考物理】【物理模型】高考高中物理33大必考考点模型整理汇编 (167页完整版)
2026-02-22 -
【线上数竞联考】【AGMC联赛】第五届AGMC数学竞赛个人赛·初中组(2月20日13点-15点) 数学试题卷+答案解析 【线上数竞联考】【AGMC联赛】第五届AGMC数学竞赛个人赛·初中组(2月20日13点-15点) ...
2026-02-22 -
【线上联考】【汇才杯赛】2026 年全国“汇才杯”高中线上学情评价区域调研(第一届))2月18日14点-16点) 数学试题卷+答题卡 【线上联考】【汇才杯赛】2026 年全国“汇才杯”高中线上学情评价区域调研(第一届))2月18日14点-16点) ...
2026-02-22 -
【线上联考】【奇数杯赛】2026 年2月第三届“奇数杯”线上联考(2月19日9点-11点) 数学试题卷+答题卡+答案解析 【线上联考】【奇数杯赛】2026 年2月第三届“奇数杯”线上联考(2月19日9点-11点) 数学试题卷+答...
2026-02-22 -
【浙江卷】【线上联考】【理科全科目】【拾懿创新联考】拾懿创新联盟2026届高三年级寒假数学联考肯繁卷(2月20日)理科全科(含听力)+答案 【浙江卷】【线上联考】【理科全科目】【拾懿创新联考】拾懿创新联盟2026届高三年级寒假数学联考肯繁卷(2月20日)理科全...
2026-02-22 -
【线上联考】【精卫杯赛】精卫杯2026年2月诊断性测试(A)(2月20日9点-11点) 数学试题卷+答题卡+答案(简答) 【线上联考】【精卫杯赛】精卫杯2026年2月诊断性测试(A)(2月20日9点-11点) 数学...
2026-02-22
点击查看 蝶变志愿更多内容





