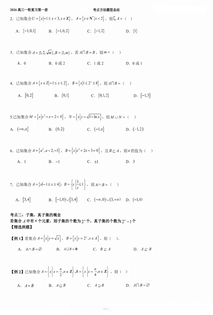
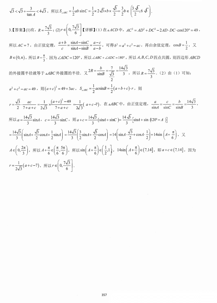
【高考数学】【数学名师申老师】2026新高考高中数学题型总结--62大(讲)考点方法总结讲义试题(上册+下册)-+答案解析册(上下册)(完整版)
2026-02-27 19:41:47文/李铭






































-
【高考数学】【数学二轮】2025版满分学案之一题一练二轮专题复习(题型全面总结+秒杀方法总结)专题讲义册+答案解析册(孟辉彪老师主编) 【高考数学】【数学二轮】2025版满分学案之一题一练二轮专题复习(题型全面总结+秒杀方法总结)专题讲义册+答案解析册(孟...
2026-02-27 -
【高考化学】【育甲高考】育甲高考高考化学8周48天提分计划(48天科学规划限时训练8轮循环巩固针对练习300道典型模拟专题突破)(郭有威著) 【高考化学】【育甲高考】育甲高考高考化学8周48天提分计划(48天科学规划限时训练8轮循环巩固针对练习300道典型模拟专...
2026-02-27 -
【独家首发】【多位物理名师精彩呈现】【高中物理】【物理实验】高中物理必修与选修阶段以及高考物理所涉及的实验全部视频课程多版本 【独家首发】【多位物理名师精彩呈现】【高中物理】【物理实验】高中物理必修与选修阶段以及高考物理所涉及的实验全部视频课程多...
2026-02-27 -
【Top30强校】【西北卷】【山西卷】山西大学附中2025~2026学年第二学期高三年级2月模块诊断暨开学考试(2.23-2.24)全科试题卷+答案 【Top30强校】【西北卷】【山西卷】山西大学附中2025~2026学年第二学期高三年级2月模块诊断暨开学考试(2.23...
2026-02-27 -
【安徽卷】安徽生A10联盟2026届高三年级下学期2月学期检测暨开年考生(2.26-2.27) 化学生物语文地理政治试题卷+答案 【安徽卷】安徽生A10联盟2026届高三年级下学期2月学期检测暨开年考生(2.26-2.27) ...
2026-02-27 -
【云南卷】云南省2026届云南三校高考备考实用性联考卷(六)(2.25-2.26) 全科试题卷+答案 【云南卷】云南省2026届云南三校高考备考实用性联考卷(六)(2.25-2.26) 全科试题卷+答案
2026-02-27 -
【湖北卷】湖北省2026届高三年级2月开学检测暨·楚天协作体026届高三年级下学期2月开学联考(2.25-2.26) 全科试题卷+答案 【湖北卷】湖北省2026届高三年级2月开学检测暨·楚天协作体026届高三年级下学期2月开学联考(2.25-2.26) ...
2026-02-27 -
【高一】【高中数学物理化学英语语文历史】【寒假自学课】【上好课】2026年春节寒假高一寒假自学课 原卷版+解析版(纯净word版)(完整版) 【高一】【高中数学物理化学英语语文历史】【寒假自学课】【上好课】2026年春节寒假高一寒假自学课 原卷版+解析版(纯净w...
2026-02-27
点击查看 蝶变志愿更多内容





