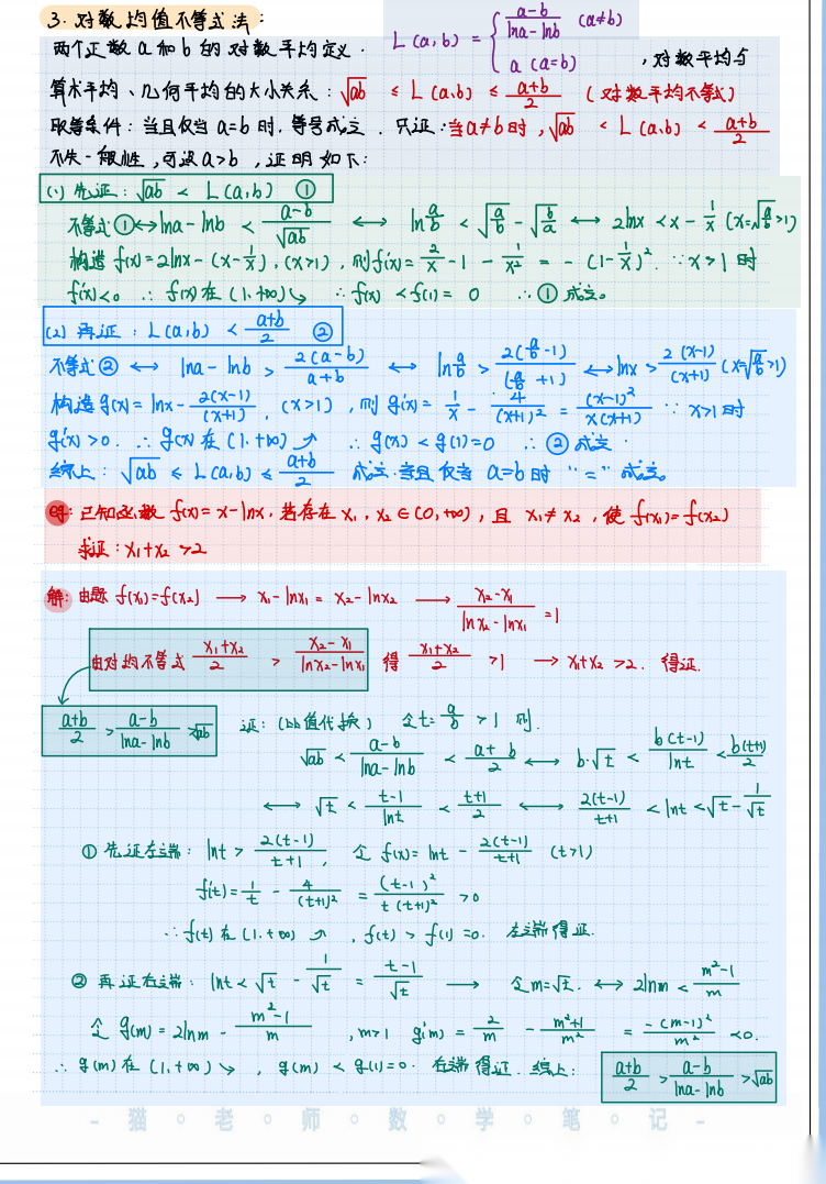
【高考数学】【二轮冲刺笔记】【数学名师猫老师】猫老师2026年高考数学二轮冲刺阶段十七大专题+两大培优高考专题笔记空白版+答案(完整版)
2026-03-03 22:07:34文/岳春阳

































-
【高考数学】【清华头哥】【数学二轮】【醍醐笔记】醍醐笔记-高考数学秘籍(名师上大招,四两拨千斤)上册+下册+答案解析册(全套完整版) 【高考数学】【清华头哥】【数学二轮】【醍醐笔记】醍醐笔记-高考数学秘籍(名师上大招,四两拨千斤)上册+下册+答案解析册(...
2026-03-03 -
【高考生物】【晨读晚默】高考生物备战---高考生物必背知识清单以及晨读晚默 填空版+背诵版(纯净word版)(完整版) 【高考生物】【晨读晚默】高考生物备战---高考生物必背知识清单以及晨读晚默 填空版+背诵版(纯净word版)(完整版...
2026-03-03 -
【高考物理】【物理名师郑梦瑶】物理名师郑梦瑶老师2026版高考物理物理--15大专题讲义+高考物理高频题随堂练练习册(通用版+双一流版) 【高考物理】【物理名师郑梦瑶】物理名师郑梦瑶老师2026版高考物理物理--15大专题讲义+高考物理高频题随堂练练习册(通...
2026-03-03 -
【高考生物】【生物二轮】高考高中生物学复习二轮复习重大考点难点---二十二大专题复习课件(通用版)(纯净PPT版)(完整版) 【高考生物】【生物二轮】高考高中生物学复习二轮复习重大考点难点---二十二大专题复习课件(通用版)(纯净PPT版)(完整...
2026-03-03 -
【高考物理】【考点专练】【物理二轮】高考物理二轮复习考点专练-77大考点必刷题型1000题+15套验收检测卷+解析册(纯净word版)(完整版) 【高考物理】【考点专练】【物理二轮】高考物理二轮复习考点专练-77大考点必刷题型1000题+15套验收检测卷+解析册(纯...
2026-03-03 -
【高考数学】【圆锥曲线专题】圆锥曲线课本教材----考点以及知识点深挖,原来教材里深埋了这么多....(人教AB汇总)(70页完整版) 【高考数学】【圆锥曲线专题】圆锥曲线课本教材----考点以及知识点深挖,原来教材里深埋了这么多....(人教AB汇总)(...
2026-03-03 -
【超清无水印】:高三,【全科】湖南师大附中2026届高三2月月考试卷(七)) 【超清无水印】:高三,【全科】湖南师大附中2026届高三2月月考试卷(七))
2026-03-03 -
【超清无水印】:高三,【全科】重庆市育才中学校2026届高三下学期开学考试 【超清无水印】:高三,【全科】重庆市育才中学校2026届高三下学期开学考试
2026-03-03
点击查看 蝶变志愿更多内容



