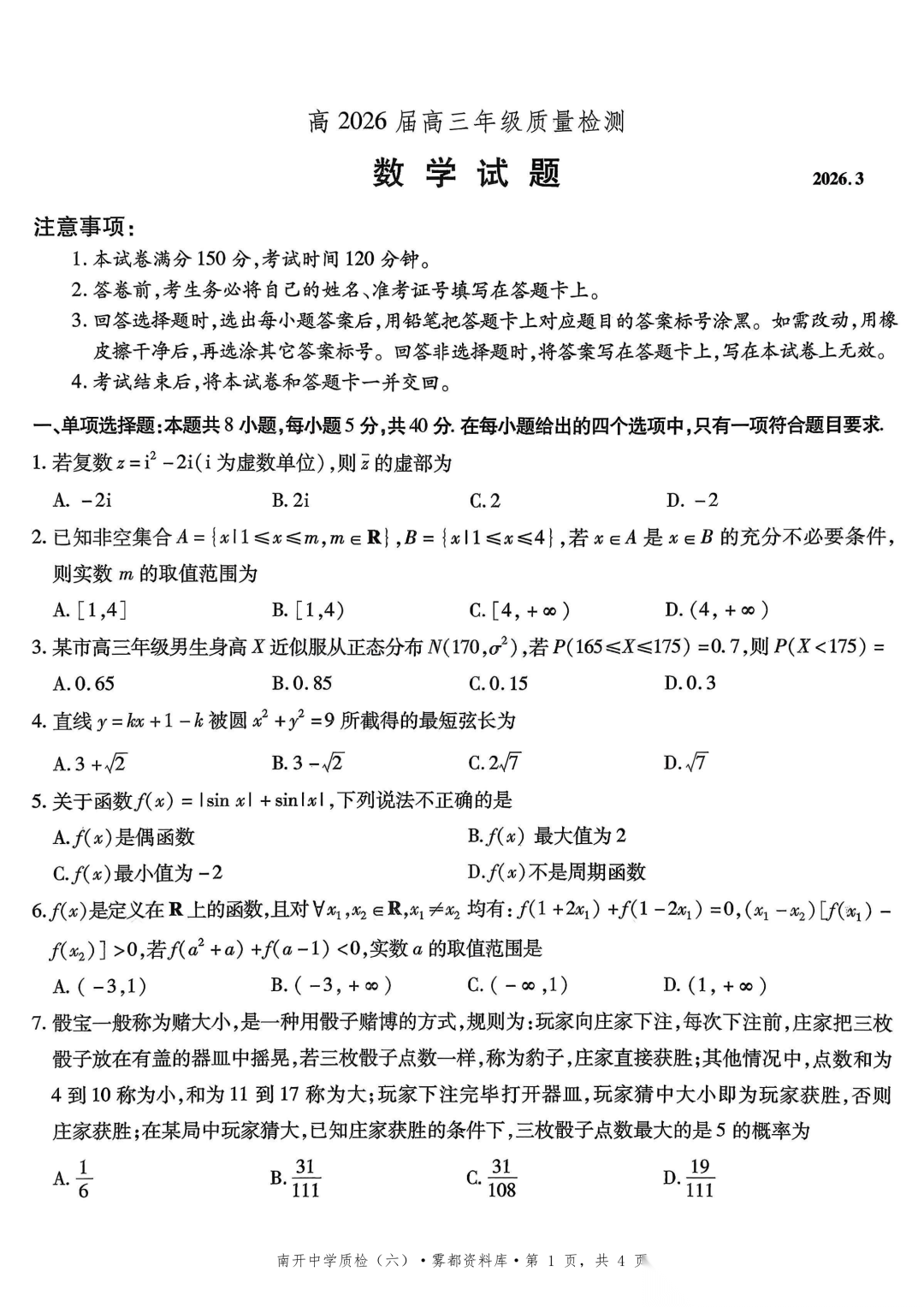
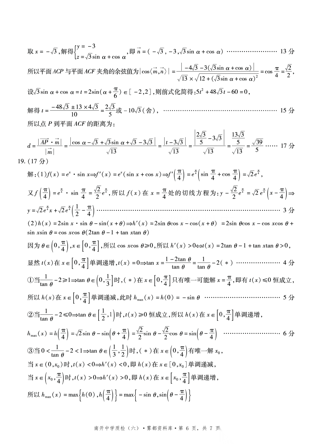
【全科】重庆市南开中学高2026届高三3月质量检测联考六
2026-03-05 23:49:32文/鲁映彤










-
江西省重点中学盟校2026届第一次质量检测 江西省重点中学盟校2026届第一次质量检测
2026-03-05 -
浙江省新阵地教育联盟2026届高三第二次联考答案 浙江省新阵地教育联盟2026届高三第二次联考答案
2026-03-05 -
江南十校2026届高三综合素质检测答案 江南十校2026届高三综合素质检测答案
2026-03-05 -
2026青桐鸣高三3月联考答案 2026青桐鸣高三3月联考答案
2026-03-05 -
2026辽宁名校联盟高三3月联考答案 2026辽宁名校联盟高三3月联考答案
2026-03-05 -
2026百师联盟高三3月联考答案 2026百师联盟高三3月联考答案
2026-03-05 -
2026九师联盟高三第7次质量检测答案 2026九师联盟高三第7次质量检测答案
2026-03-05 -
【三省三校一模】2026年高三第一次联合模拟考试答案 【三省三校一模】2026年高三第一次联合模拟考试答案
2026-03-05
点击查看 蝶变志愿更多内容

