【襄阳一模全科】2026年3月襄阳市高三年级统一调研测试
2026-03-08 01:52:32文/鲁映彤











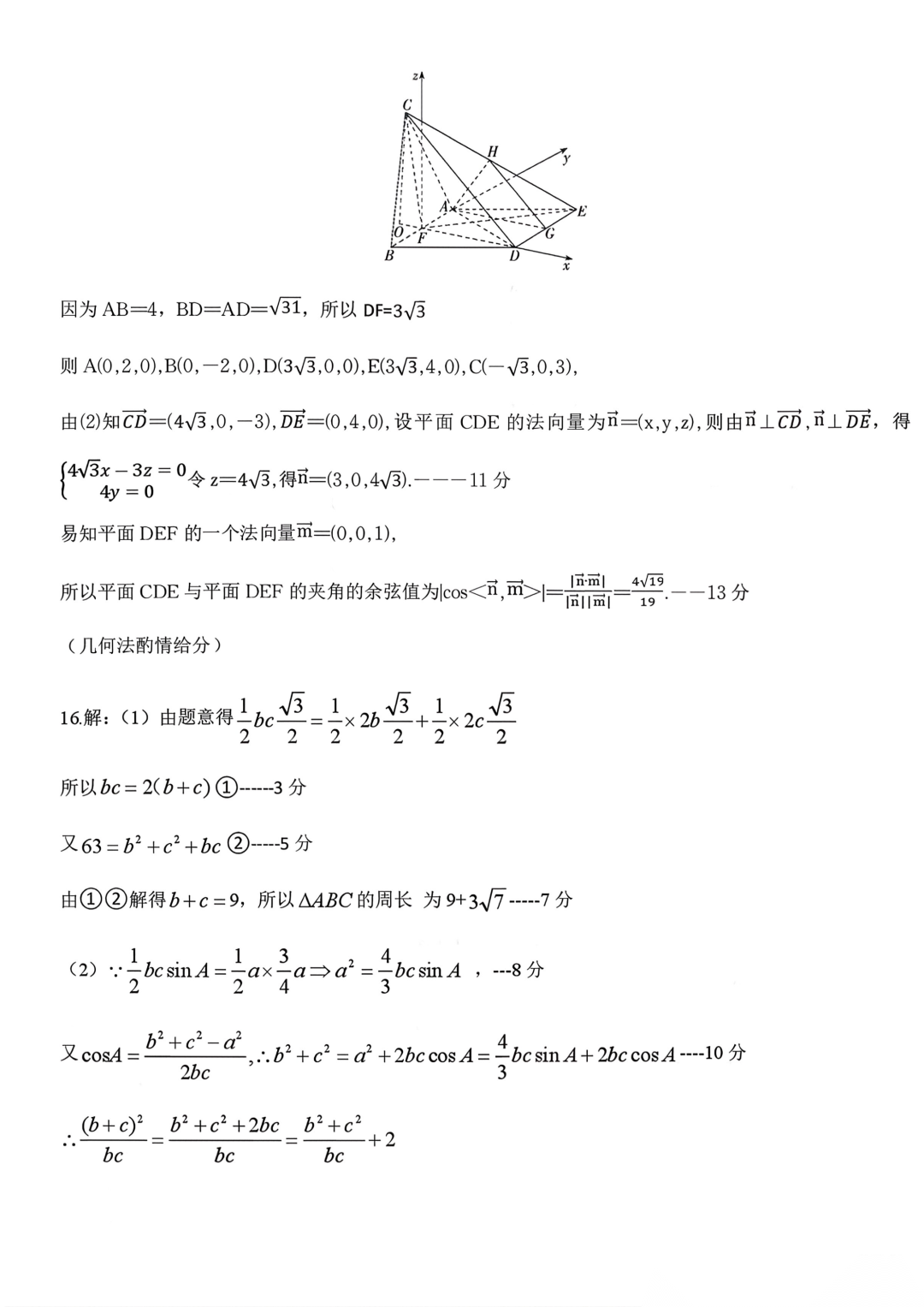
-
【大同一模全科】2026届大同市高三年级第一次模拟考试质量监测 【大同一模全科】2026届大同市高三年级第一次模拟考试质量监测
2026-03-08 -
【汕头一模全科】2026年汕头市普通高考第一次模拟考试 【汕头一模全科】2026年汕头市普通高考第一次模拟考试
2026-03-08 -
【全科】浙江省新阵地教育联盟2026届高三第二次联考 【全科】浙江省新阵地教育联盟2026届高三第二次联考
2026-03-08 -
【全科】浙江强基联盟2026年3月高三联考 【全科】浙江强基联盟2026年3月高三联考
2026-03-08 -
【全科】龙岩市2026年高中毕业班三月教学质量检测 【全科】龙岩市2026年高中毕业班三月教学质量检测
2026-03-08 -
【莆田二检全科】莆田市2026届高中毕业班第二次质量调研测试 【莆田二检全科】莆田市2026届高中毕业班第二次质量调研测试
2026-03-08 -
【福州二检全科】2025-2026学年福州市高三年级三月质量检测 【福州二检全科】2025-2026学年福州市高三年级三月质量检测
2026-03-08 -
2025-2026学年福州市高三年级三月质量检测下载 2025-2026学年福州市高三年级三月质量检测下载
2026-03-08
点击查看 蝶变志愿更多内容

