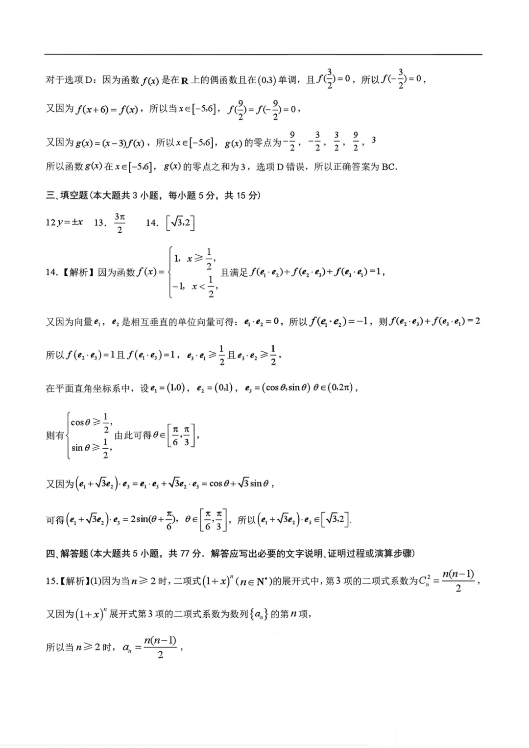
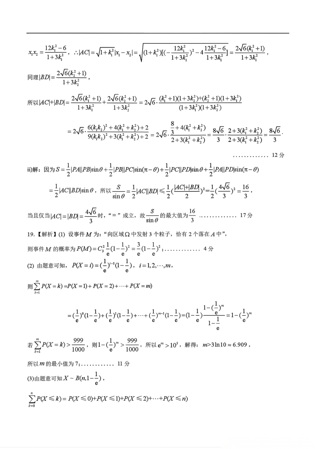
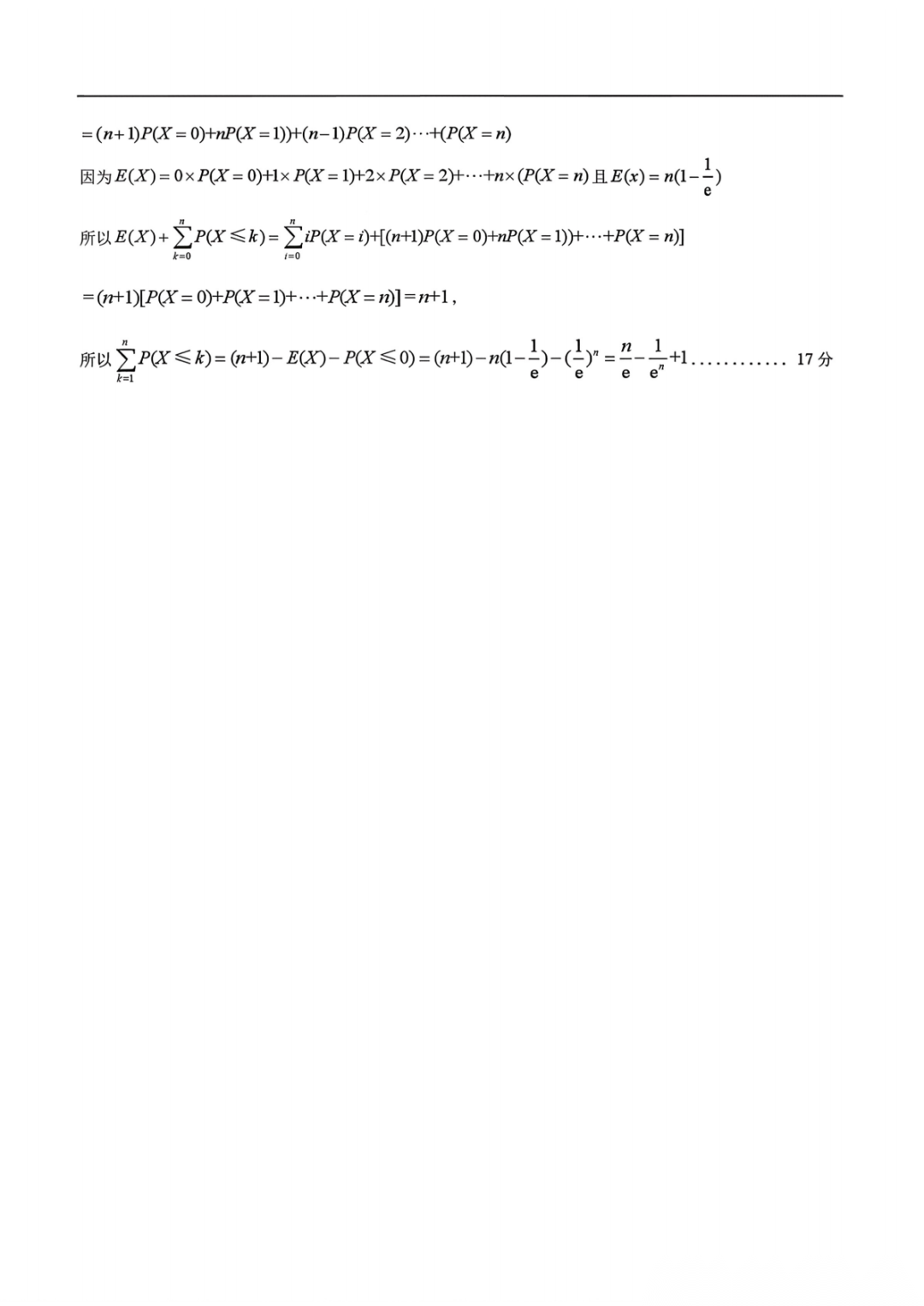
【兰州一诊全科】2026年兰州市高三模拟考试
2026-03-14 06:02:39文/鲁映彤









-
【甘肃一诊全科】2026年甘肃省高三年级第一次模拟考试 【甘肃一诊全科】2026年甘肃省高三年级第一次模拟考试
2026-03-14 -
【平许济洛三模全科】河南省豫西北教研联盟2025-2026学年高三第三次质量检测 【平许济洛三模全科】河南省豫西北教研联盟2025-2026学年高三第三次质量检测
2026-03-14 -
【怀化一模全科】湖南省2026届九校联盟高三第二次联考 【怀化一模全科】湖南省2026届九校联盟高三第二次联考
2026-03-14 -
【武汉三调全科】武汉市2026届高中毕业生三月调研考试 【武汉三调全科】武汉市2026届高中毕业生三月调研考试
2026-03-14 -
重庆市第一中学2026届高三下学期3月月考 重庆市第一中学2026届高三下学期3月月考
2026-03-14 -
陕西省镇安中学2026届高三下学期二模考试 陕西省镇安中学2026届高三下学期二模考试
2026-03-14 -
山东省日照市2026届高三下学期3月一模考试(日照一模) 山东省日照市2026届高三下学期3月一模考试(日照一模)
2026-03-14 -
山东省聊城市2026届高三下学期3月一模考试(聊城一模) 山东省聊城市2026届高三下学期3月一模考试(聊城一模)
2026-03-14
点击查看 蝶变志愿更多内容

