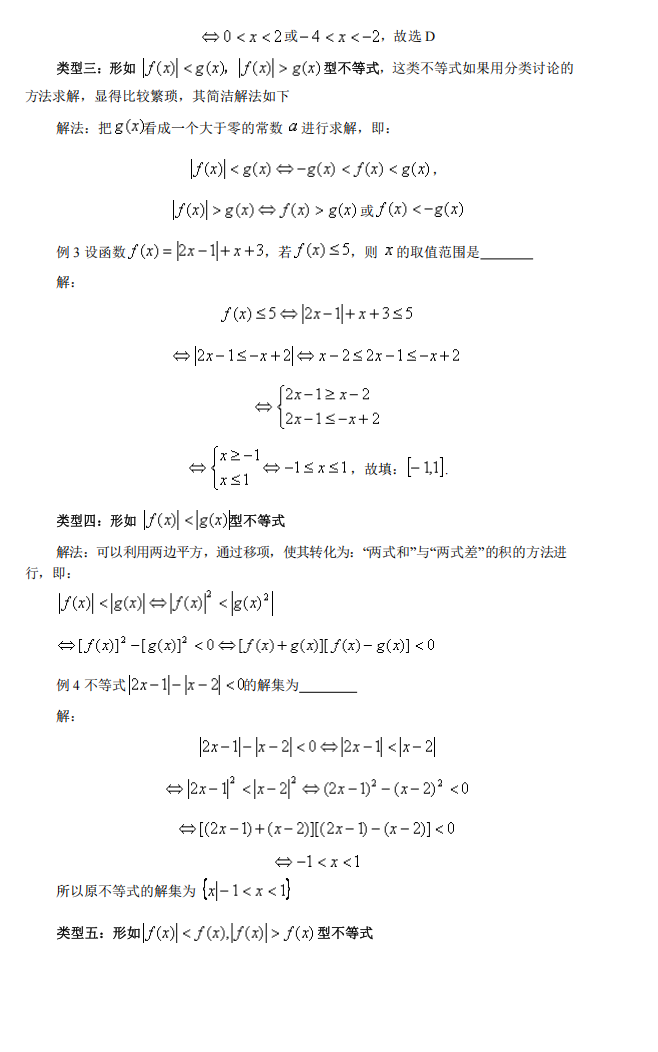
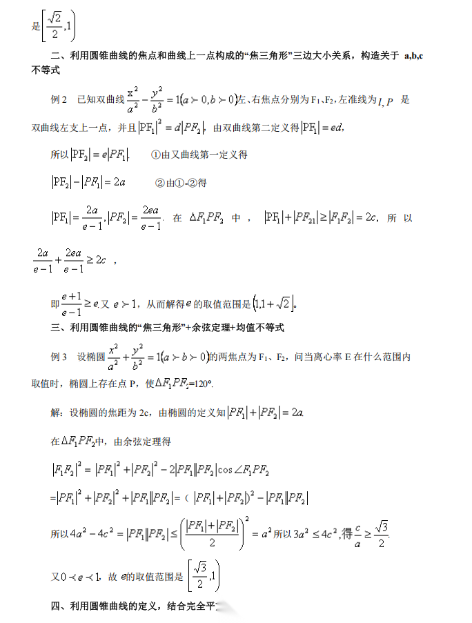
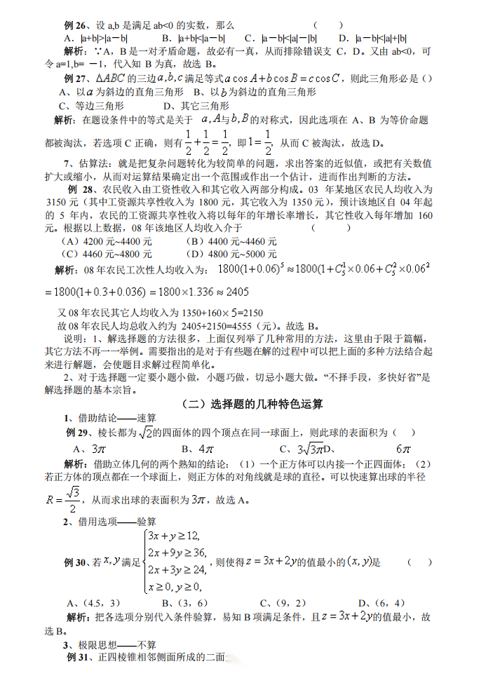
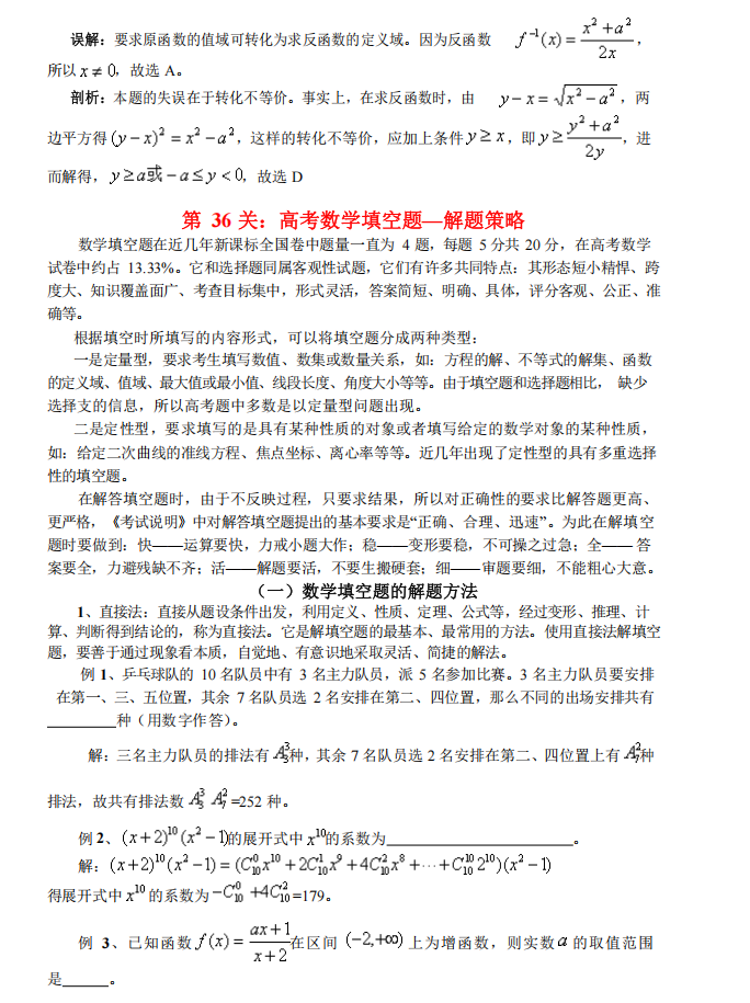
【高考数学】【三轮冲刺】【三轮破题】高考数学考前破题36关(大招破题)(219页完整版)
2026-03-18 09:21:38文/李响








































-
【海南卷】海南省文昌中学2025一2026学年度第二学期高三年级第一次月考试题(3.10-3.11) 全科试题卷+答案 【海南卷】海南省文昌中学2025一2026学年度第二学期高三年级第一次月考试题(3.10-3.11) 全科试题卷...
2026-03-18 -
【西北卷】【陕西卷】陕西省·金太阳·2026届高三下学期3月联考(26-287C)(3.13-3.14) 全科试题卷+答案 【西北卷】【陕西卷】陕西省·金太阳·2026届高三下学期3月联考(26-287C)(3.13-3.14) 全科试题卷...
2026-03-18 -
【河北卷】河北省邯郸市2026届高三年级第一次模拟检测(邯郸一模)(3.17-3.18) 数学物理英语语文历史试题卷+答案 【河北卷】河北省邯郸市2026届高三年级第一次模拟检测(邯郸一模)(3.17-3.18) 数学物理英语语文历史试题卷...
2026-03-18 -
【山东卷】山东省青岛市2026年高三年级第一次适应性检测(青岛一模)(3.16-3.18) 数学物理英语语文日语政治试题卷+答案 【山东卷】山东省青岛市2026年高三年级第一次适应性检测(青岛一模)(3.16-3.18) 数学物理英语语文日语政治...
2026-03-18 -
【西北卷】【陕西卷】陕西省铜川市2026届高三年级模拟预测(二)(铜川二模)(3.16-3.18) 数学英语语文地理试题卷+答案 【西北卷】【陕西卷】陕西省铜川市2026届高三年级模拟预测(二)(铜川二模)(3.16-3.18) 数学英语语文地...
2026-03-18 -
【江苏卷】江苏省苏州无锡常州镇江市2025-2026学年度苏锡常镇高三年级教学情况调研(一)(苏锡常镇一模)(3.17-3.19)数学语文试题卷+答案 【江苏卷】江苏省苏州无锡常州镇江市2025-2026学年度苏锡常镇高三年级教学情况调研(一)(苏锡常镇一模)(3.17-...
2026-03-18 -
【湖北卷】湖北省黄冈市2026年3月高三年级模拟考试(黄冈二模)(3.16-3.17) 全科试题卷+答案 【湖北卷】湖北省黄冈市2026年3月高三年级模拟考试(黄冈二模)(3.16-3.17) 全科试题卷+答案
2026-03-18 -
【西北卷】【陕西卷】陕西省2026年高考适应性检测(二)(陕西二模)(3.16-3.17) 全科试题卷+答案(答案明日更新) 【西北卷】【陕西卷】陕西省2026年高考适应性检测(二)(陕西二模)(3.16-3.17) ...
2026-03-18
点击查看 蝶变志愿更多内容


