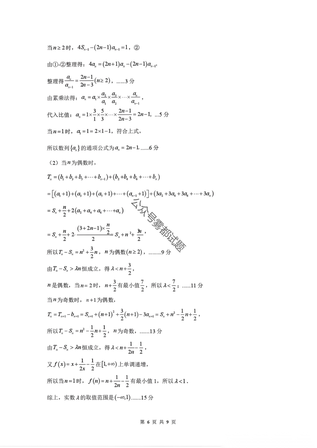
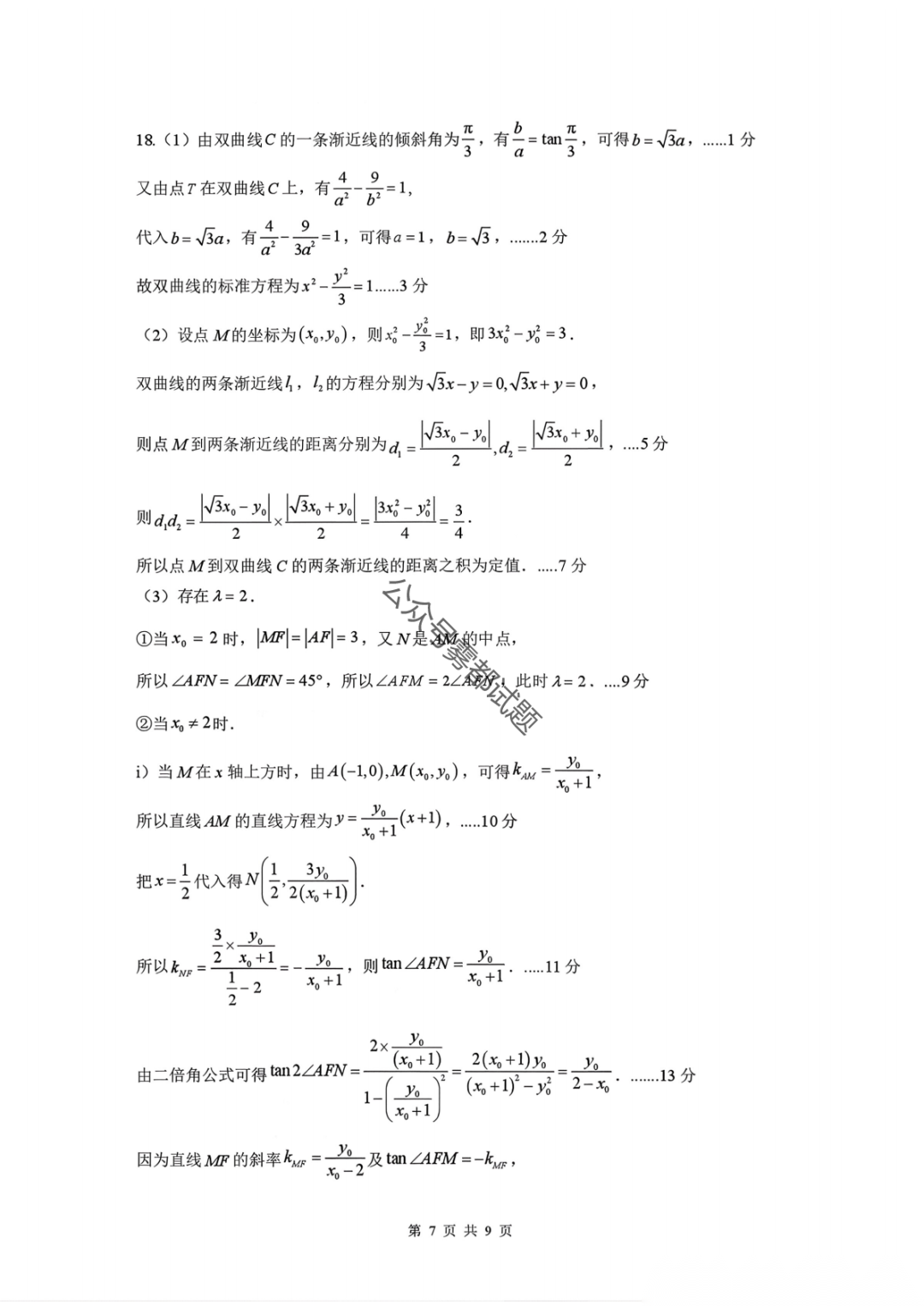
湖北省2026届楚天协作体高三3月联考答案
2026-03-19 10:03:08文/李铭




























-
【荆州一模】湖北省荆州市2026届高三3月调研考试答案 【荆州一模】湖北省荆州市2026届高三3月调研考试答案
2026-03-19 -
【南昌一模】2026届江西省南昌市高三年级三月测试答案 【南昌一模】2026届江西省南昌市高三年级三月测试答案
2026-03-19 -
【安庆二模】安庆市2026年高三3月模拟考试答案 【安庆二模】安庆市2026年高三3月模拟考试答案
2026-03-19 -
2026河北高三3月联考 2026河北高三3月联考
2026-03-19 -
楚天协作体2026年高三3月模拟考试答案 楚天协作体2026年高三3月模拟考试答案
2026-03-19 -
【江门一模】江门市2026年高考模拟考试答案 【江门一模】江门市2026年高考模拟考试答案
2026-03-19 -
荆州市2026届高三3月调研考试答案 荆州市2026届高三3月调研考试答案
2026-03-19 -
宁波十校2026届高三3月联考答案 宁波十校2026届高三3月联考答案
2026-03-19
点击查看 蝶变志愿更多内容




