【全科】四川省石室中学2026届高三二诊模拟考试
2026-03-21 11:20:02文/鲁映彤







-
【宜宾二诊全科】宜宾市普通高中2026届高三第二次诊断性测试 【宜宾二诊全科】宜宾市普通高中2026届高三第二次诊断性测试
2026-03-21 -
【辽阳一模全科】2026年辽阳市普通高中高三年级第一次模拟考试 【辽阳一模全科】2026年辽阳市普通高中高三年级第一次模拟考试
2026-03-21 -
【抚顺一模全科】2026年抚顺市普通高中应届毕业生高考模拟考试 【抚顺一模全科】2026年抚顺市普通高中应届毕业生高考模拟考试
2026-03-21 -
【广州一模全科】2026年广州市普通高中毕业班综合测试(一) 【广州一模全科】2026年广州市普通高中毕业班综合测试(一)
2026-03-21 -
【广东一模全科】2026年广东省拍题高等学校招生全国统一考试模拟测试(一) 【广东一模全科】2026年广东省拍题高等学校招生全国统一考试模拟测试(一)
2026-03-21 -
【南昌一模全科】江西省南昌市2026届高三年级三月测试 【南昌一模全科】江西省南昌市2026届高三年级三月测试
2026-03-21 -
【邯郸一模全科】河北省邯郸市2026届高三第一次模拟检测 【邯郸一模全科】河北省邯郸市2026届高三第一次模拟检测
2026-03-21 -
【荆州一模全科】湖北省荆州市2026届高三3月调研考试 【荆州一模全科】湖北省荆州市2026届高三3月调研考试
2026-03-21
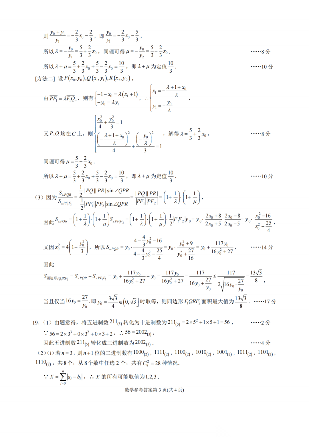
点击查看 蝶变志愿更多内容


