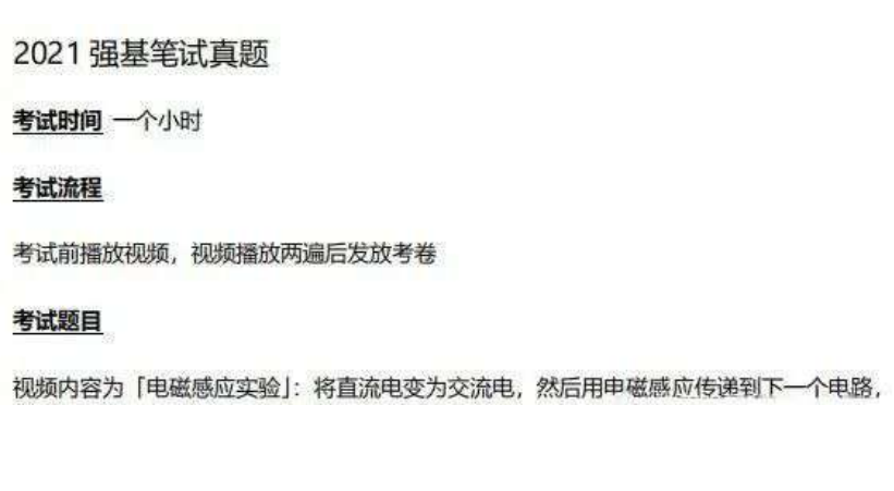
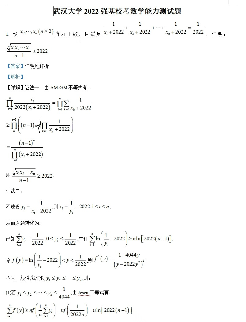
【独家】【强基计划】【数学物理强基计划】【笔试和复试】2020-2025年各大头部985高校强基计划初试笔试和复试面试合集(完整版)
2026-03-23 13:27:58文/张亚红



























-
2026年山东山大附中高三3月月考试卷及答案汇总 2026年山东山大附中高三3月月考试卷及答案汇总
2026-03-23 -
宝鸡二模2026年陕西宝鸡高考模拟检测试题二试卷及答案汇总 宝鸡二模2026年陕西宝鸡高考模拟检测试题二试卷及答案汇总
2026-03-23 -
安徽“新高考”联盟校一模2026届高三下第一次检测试卷及答案汇总 安徽“新高考”联盟校一模2026届高三下第一次检测试卷及答案汇总
2026-03-23 -
湘一名校联盟二模2026届湖南省一名校联盟高三年级下学期第二次联考试卷及答案汇总 湘一名校联盟二模2026届湖南省一名校联盟高三年级下学期第二次联考试卷及答案汇总
2026-03-23 -
云南省临沧市2026届高三年级教学质量监测3月统测语文 云南省临沧市2026届高三年级教学质量监测3月统测语文
2026-03-23 -
江苏省南京市2026届高三第二次模拟测试(南京二模)物理试题 江苏省南京市2026届高三第二次模拟测试(南京二模)物理试题
2026-03-23 -
河北省石家庄市2026届普通高中学校毕业年级教学质量检测(一)(石家庄一模)语文试题 河北省石家庄市2026届普通高中学校毕业年级教学质量检测(一)(石家庄一模)语文试题
2026-03-23 -
四川省成都市2023级高三下学期第二次模拟测试(成都二诊)语文 四川省成都市2023级高三下学期第二次模拟测试(成都二诊)语文
2026-03-23
点击查看 蝶变志愿更多内容






