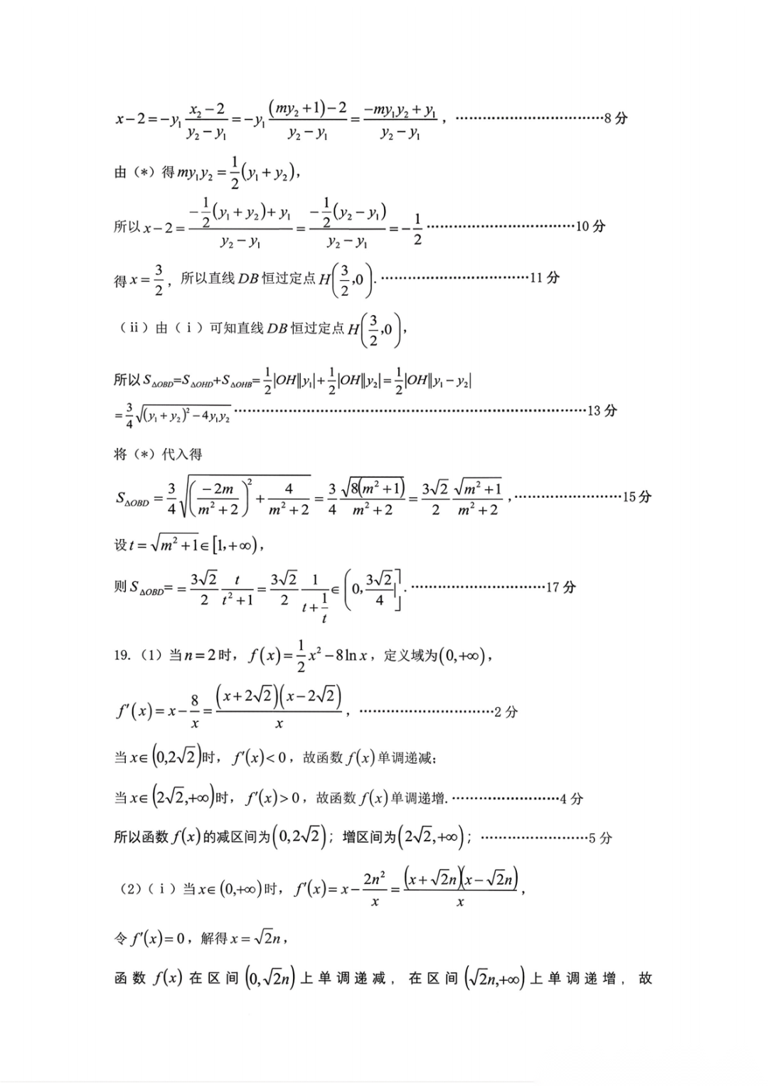
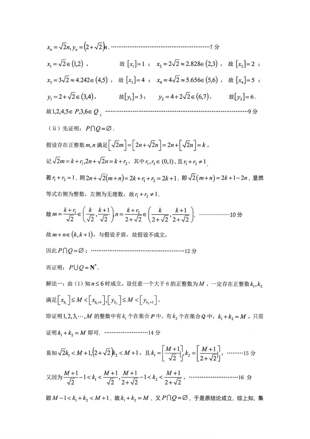
【石家庄一模全科】2026届石家庄市普通高中学校毕业年级教学质量检测(一)
2026-03-26 16:05:23文/李响










-
【点石联考九科】辽宁省2026届高三年级3月学情调研 【点石联考九科】辽宁省2026届高三年级3月学情调研
2026-03-26 -
【成都二诊全科】四川省成都市2023级高三第二次模拟测试 【成都二诊全科】四川省成都市2023级高三第二次模拟测试
2026-03-26 -
山东师范大学附属中学2025-2026学年高三下学期3月阶段检测 山东师范大学附属中学2025-2026学年高三下学期3月阶段检测
2026-03-25 -
【全科】陕西商洛市2026届高三下学期第一次模拟考试 【全科】陕西商洛市2026届高三下学期第一次模拟考试
2026-03-25 -
【全科】北京市延庆区2025-2026学年高三一模 【全科】北京市延庆区2025-2026学年高三一模
2026-03-25 -
2026年辽宁点石联考高三年级3月学情调研 2026年辽宁点石联考高三年级3月学情调研
2026-03-25 -
四川省成都市2023级高三第二次模拟测试 四川省成都市2023级高三第二次模拟测试
2026-03-25 -
河北石家庄2026届高三教学质量检测一(石家庄一模) 河北石家庄2026届高三教学质量检测一(石家庄一模)
2026-03-25
点击查看 蝶变志愿更多内容





