【太原一模全科】山西省太原市2026年高三年级模拟考试(一)
2026-03-28 18:04:45文/鲁映彤










-
【全科】2026年安徽省示范高中皖北协作区第28届3月联考(一模) 【全科】2026年安徽省示范高中皖北协作区第28届3月联考(一模)
2026-03-28 -
2026届重庆市一中高三3月高考适应性月考卷(六)语文、数学试题 2026届重庆市一中高三3月高考适应性月考卷(六)语文、数学试题
2026-03-28 -
重庆市育才中学高2026届高三下学期3月月考语文、数学试题及参考答案 重庆市育才中学高2026届高三下学期3月月考语文、数学试题及参考答案
2026-03-28 -
【咸阳二模】咸阳市2026年高考模拟检测二答案 【咸阳二模】咸阳市2026年高考模拟检测二答案
2026-03-28 -
2026江西高三年级3月学科素养训练答案 2026江西高三年级3月学科素养训练答案
2026-03-28 -
【池州一模】2026年池州市高三教学质量统一监测答案 【池州一模】2026年池州市高三教学质量统一监测答案
2026-03-28 -
南京、盐城2026届高三年级第一次模拟考试全科下载 南京、盐城2026届高三年级第一次模拟考试全科下载
2026-03-28 -
【太原一模】太原市2026年高三年级模拟考试一全科下载 【太原一模】太原市2026年高三年级模拟考试一全科下载
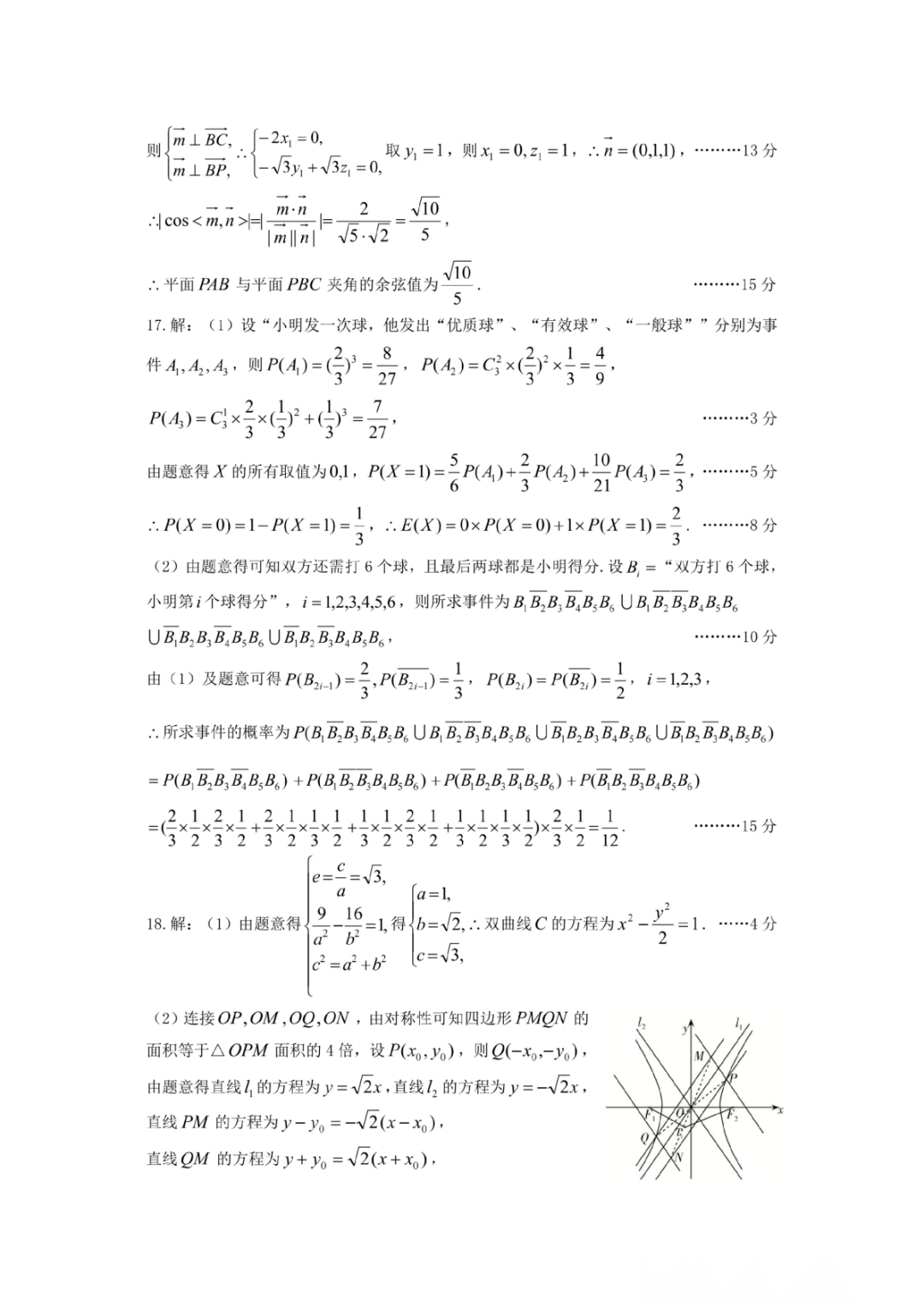
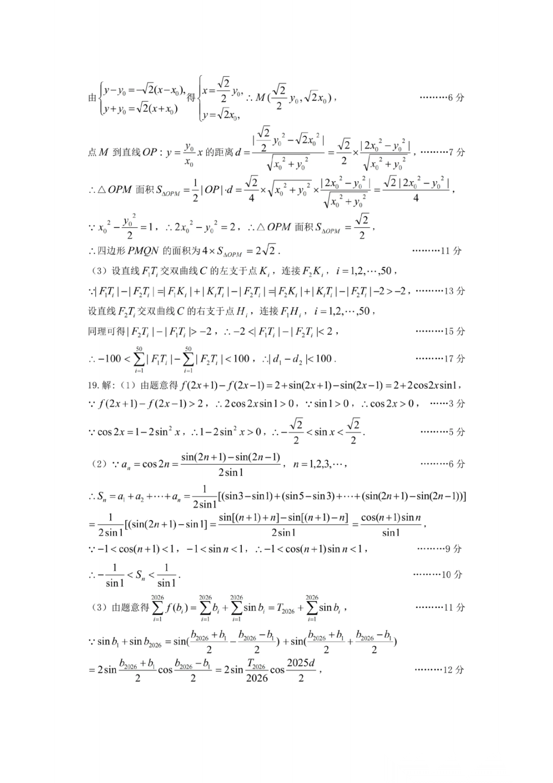
2026-03-28
点击查看 蝶变志愿更多内容




