陕西省西北工业大学附属中学2026届高三下学期第十一次适应性训练
2026-04-08 01:56:03文/闫博
















-
【全科】2026届天津市河东区高三下学期总复习质量检测(一) 【全科】2026届天津市河东区高三下学期总复习质量检测(一)
2026-04-08 -
河北省衡水中学2025-2026学年高三年级下学期综合素质评价三 河北省衡水中学2025-2026学年高三年级下学期综合素质评价三
2026-04-08 -
【全科】河南省2026届高三下学期高考适应性考试 【全科】河南省2026届高三下学期高考适应性考试
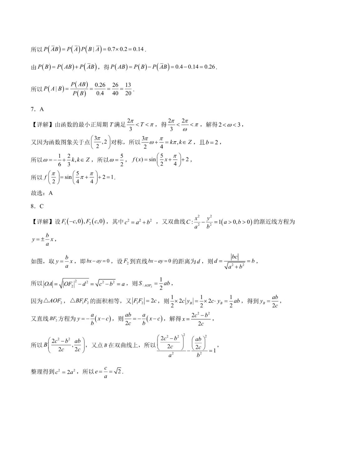
2026-04-08 -
浙江台州市2026届高三第二次教学质量评估 浙江台州市2026届高三第二次教学质量评估
2026-04-08 -
浙江省嘉兴市2025-2026学年高三下学期二模 浙江省嘉兴市2025-2026学年高三下学期二模
2026-04-08 -
【全科】九师联盟2025-2026学年高三核心模拟卷中(六) 【全科】九师联盟2025-2026学年高三核心模拟卷中(六)
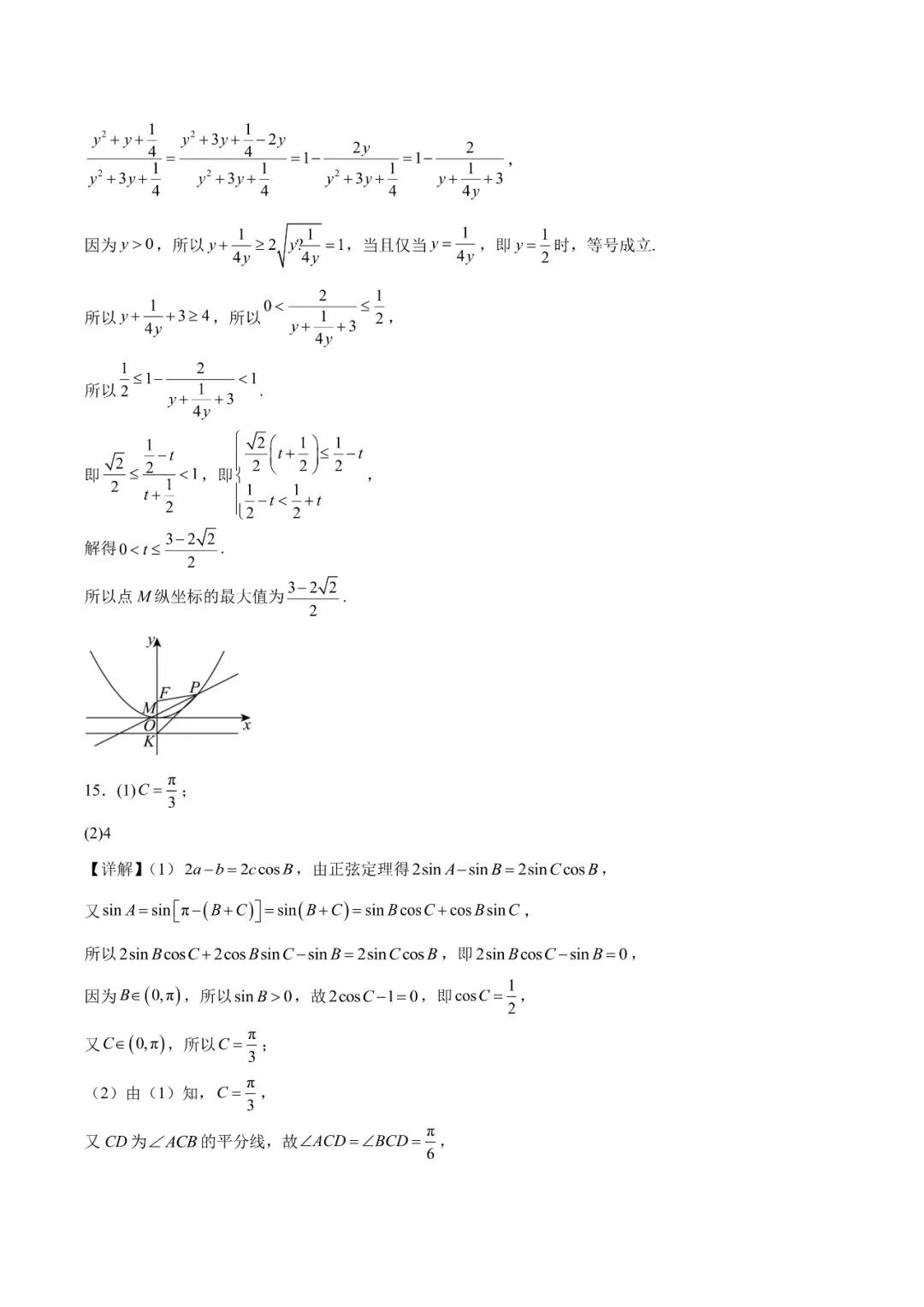
2026-04-08 -
新疆2026届高三下学期四月适应性检测 新疆2026届高三下学期四月适应性检测
2026-04-08 -
吉林省长春市2026届高三质量监测(二) 吉林省长春市2026届高三质量监测(二)
2026-04-08
点击查看 蝶变志愿更多内容

