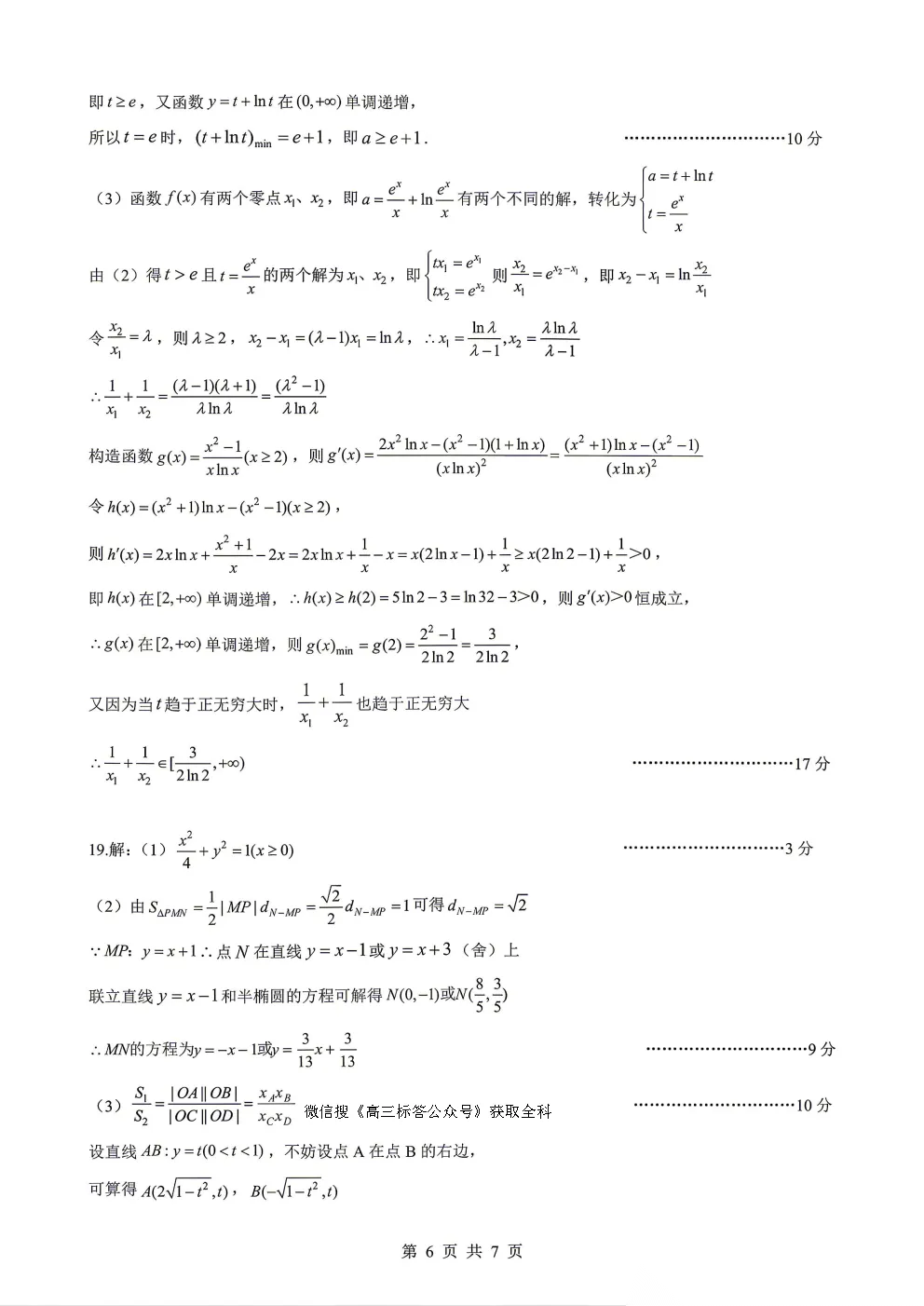
2026湖北新八校高三4月联考答案
2026-04-15 06:19:19文/丁雪竹










-
【九江二模】九江市2026年第二次高考模拟统一考试答案 【九江二模】九江市2026年第二次高考模拟统一考试答案
2026-04-15 -
考前50天50题 考前50天50题
2026-04-15 -
【全科】2026北京西城区高三一模 【全科】2026北京西城区高三一模
2026-04-13 -
【全科】2026北京海淀区高三一模 【全科】2026北京海淀区高三一模
2026-04-13 -
【全科】江西省宜春市2026届高三模拟考试 【全科】江西省宜春市2026届高三模拟考试
2026-04-13 -
【全科】湖南省长望浏宁四区县市2026届高三四月份调研考试 【全科】湖南省长望浏宁四区县市2026届高三四月份调研考试
2026-04-13 -
【全科】江西“三新”协同教研共同体2026届高三4月学科阶段训练 【全科】江西“三新”协同教研共同体2026届高三4月学科阶段训练
2026-04-13 -
【全科】山西2026届高三天一小高考五(素质评价) 【全科】山西2026届高三天一小高考五(素质评价)
2026-04-13
点击查看 蝶变志愿更多内容





