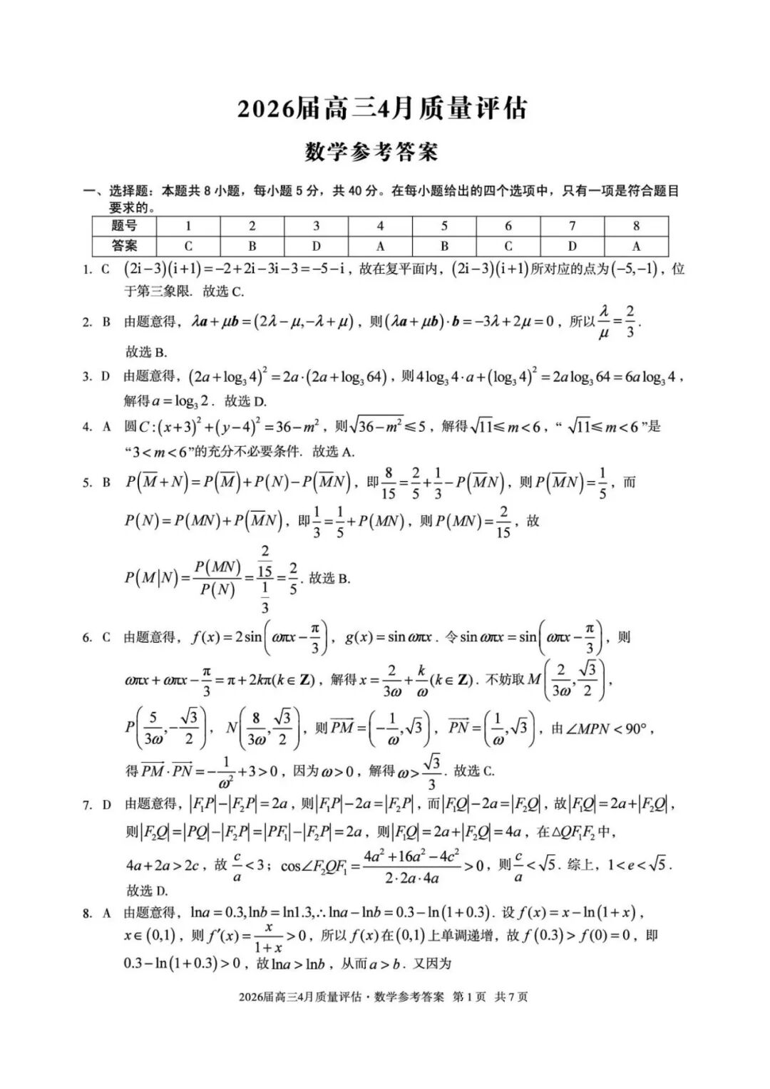
【全科】安徽省A10联盟2026届高三4月质量评估联考
2026-04-15 07:03:26文/芮兴佳










-
【260413】安徽华师联盟2026届高三第二学期4月质量检测 【260413】安徽华师联盟2026届高三第二学期4月质量检测
2026-04-15 -
【全科】山西大学附属中学校2025-2026学年高三下学期4月阶段检测 【全科】山西大学附属中学校2025-2026学年高三下学期4月阶段检测
2026-04-15 -
广东省佛山市2025-2026学年佛山市普通高中教学质量检测(二) 广东省佛山市2025-2026学年佛山市普通高中教学质量检测(二)
2026-04-15 -
湖北新八校2026届高三4月联考 湖北新八校2026届高三4月联考
2026-04-15 -
浙江省湖州、衢州、丽水2026年4月三地市高三教学质量检测 浙江省湖州、衢州、丽水2026年4月三地市高三教学质量检测
2026-04-15 -
【全科】2026届湖南师范大学附属中学高三模拟卷(一) 【全科】2026届湖南师范大学附属中学高三模拟卷(一)
2026-04-15 -
【湖北名校】【湖北卷】【高二】湖北省襄阳市襄阳第五中学2025-2026学年高二下学期3月月考试卷(3月底) 全科试题卷+答案 【湖北名校】【湖北卷】【高二】湖北省襄阳市襄阳第五中学2025-2026学年高二下学期3月月考试卷(3月底) 全科试题卷...
2026-04-15 -
【西北卷】【陕西卷】陕西省金太阳多校2026届高三下学期3月联考(3月底) 全科试题卷+答案 【西北卷】【陕西卷】陕西省金太阳多校2026届高三下学期3月联考(3月底) 全科试题卷+答案
2026-04-15
点击查看 蝶变志愿更多内容

