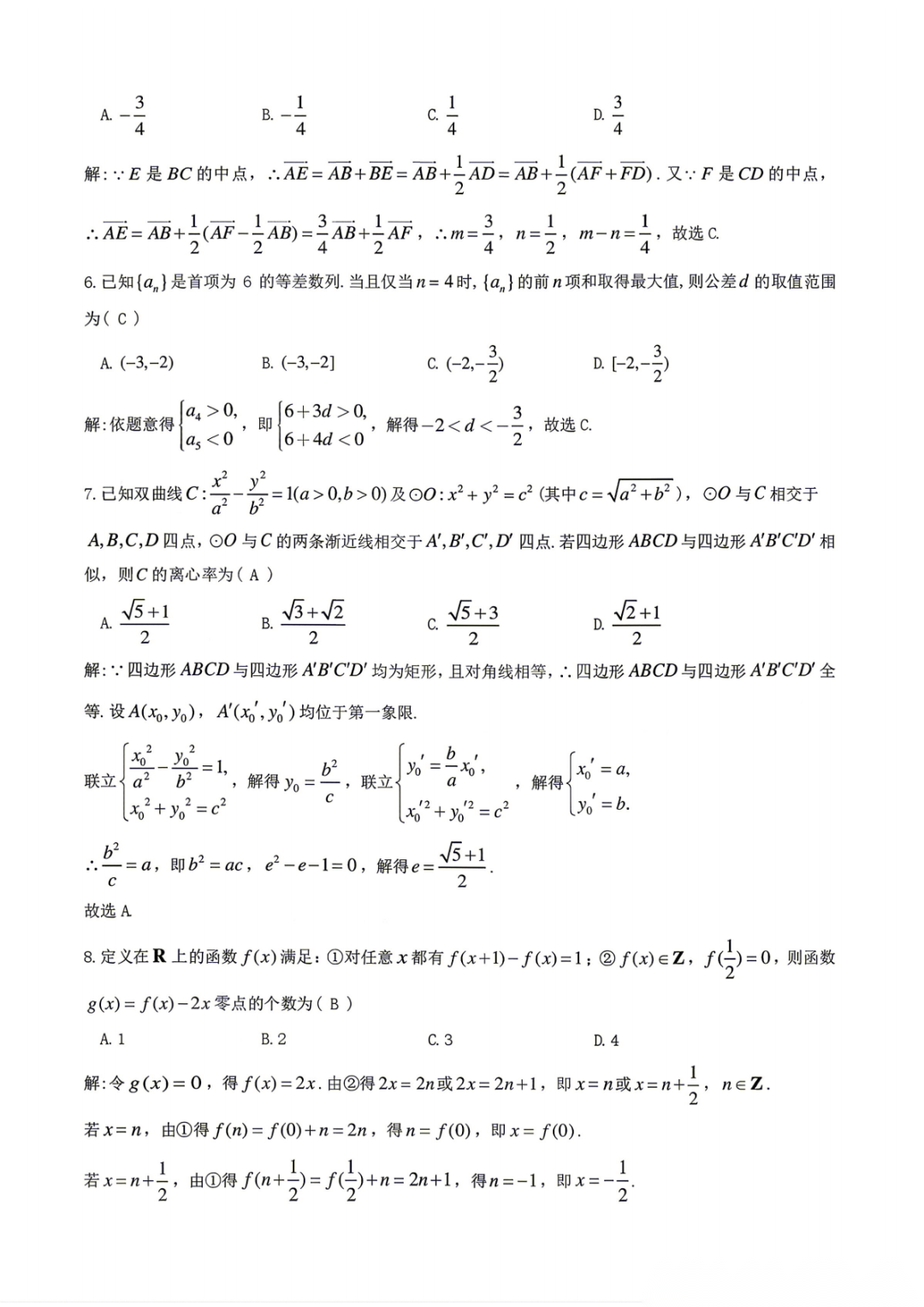
【九江二模全科】九江市2026年高三第二次高考模拟统一考试
2026-04-17 08:14:18文/芮兴佳













-
2026陕西高三年级4月阶段性检测答案 2026陕西高三年级4月阶段性检测答案
2026-04-17 -
江淮十校2026届高三4月模拟考试答案 江淮十校2026届高三4月模拟考试答案
2026-04-17 -
【渭南二模】渭南市2026届高三教学质量检测二答案 【渭南二模】渭南市2026届高三教学质量检测二答案
2026-04-17 -
2026高三4月16、17日联考答案 2026高三4月16、17日联考答案
2026-04-17 -
皖南八校2026届高三4月教学质量检测答案 皖南八校2026届高三4月教学质量检测答案
2026-04-17 -
【上饶二模】上饶市2026届高三年级第二次高考模拟考试语数英物理、历史答案 【上饶二模】上饶市2026届高三年级第二次高考模拟考试语数英物理、历史答案
2026-04-17 -
2026湖南、广西高三4月16联考答案 2026湖南、广西高三4月16联考答案
2026-04-17 -
【淮南二模】2026高三第二次教学质量检测答案 【淮南二模】2026高三第二次教学质量检测答案
2026-04-17
点击查看 蝶变志愿更多内容





