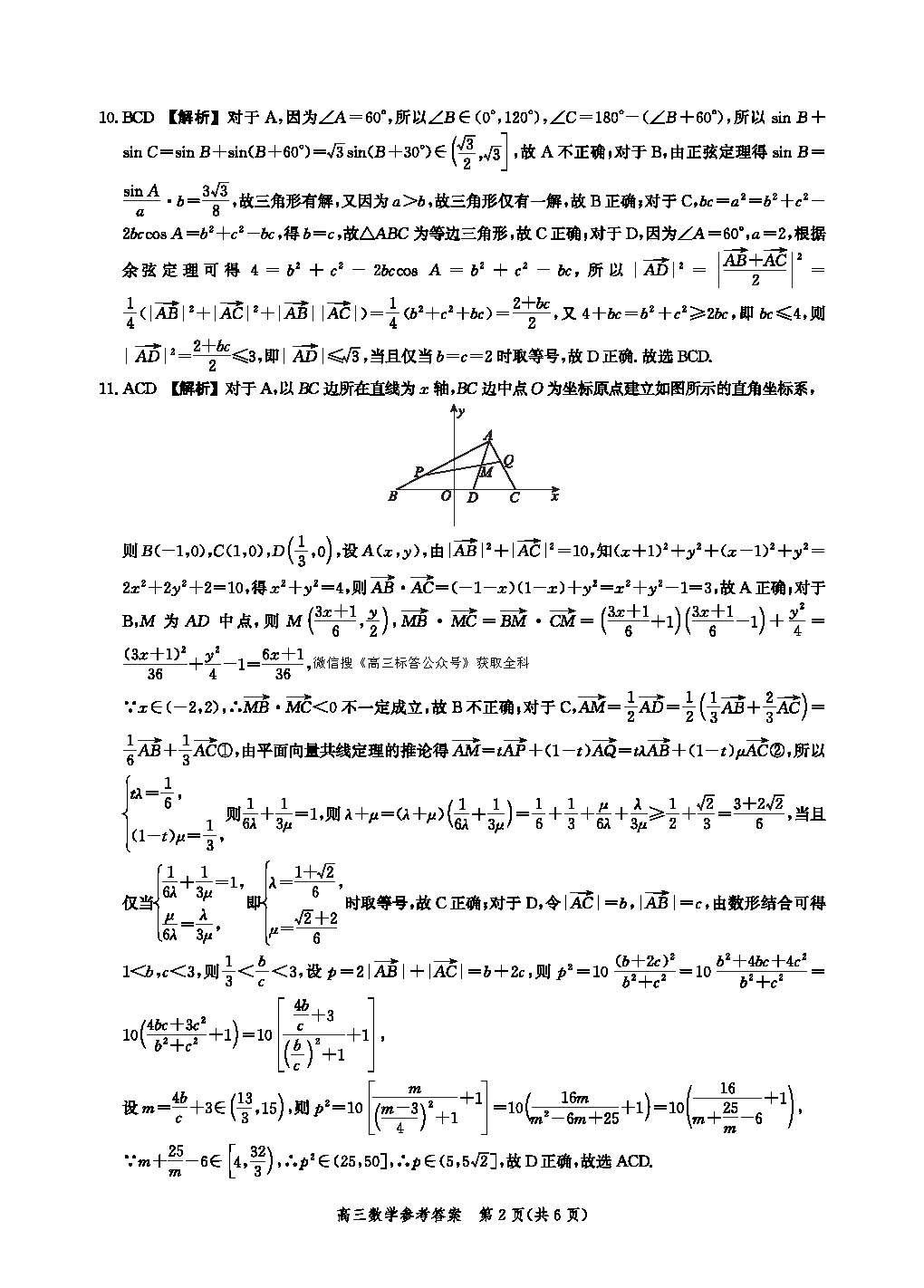
【邯郸二模】2026届高三第二次模拟检测答案
2026-04-22 11:48:43文/鲁映彤









-
蚌埠市2026届高三年级4月适应性考试全科下载 蚌埠市2026届高三年级4月适应性考试全科下载
2026-04-22 -
萍乡市2025-2026学年度高三二模考试全科下载 萍乡市2025-2026学年度高三二模考试全科下载
2026-04-22 -
【张家口二模】张家口市2026届高三年级第二次模拟考试答案 【张家口二模】张家口市2026届高三年级第二次模拟考试答案
2026-04-22 -
【大湾区二模】2026届高三模拟测试二答案 【大湾区二模】2026届高三模拟测试二答案
2026-04-22 -
【辽宁协作校二模】辽宁、内蒙古四月高考质量调研答案 【辽宁协作校二模】辽宁、内蒙古四月高考质量调研答案
2026-04-22 -
辽宁协作体2026年4月高考模拟考试答案 辽宁协作体2026年4月高考模拟考试答案
2026-04-22 -
【全科】内蒙古包头市2026届高三下学期二模考试 【全科】内蒙古包头市2026届高三下学期二模考试
2026-04-21 -
安徽省蚌埠市2026届高三下学期适应性考试 安徽省蚌埠市2026届高三下学期适应性考试
2026-04-21
点击查看 蝶变志愿更多内容



