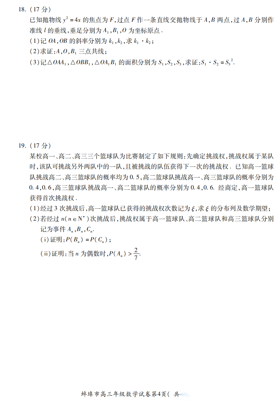
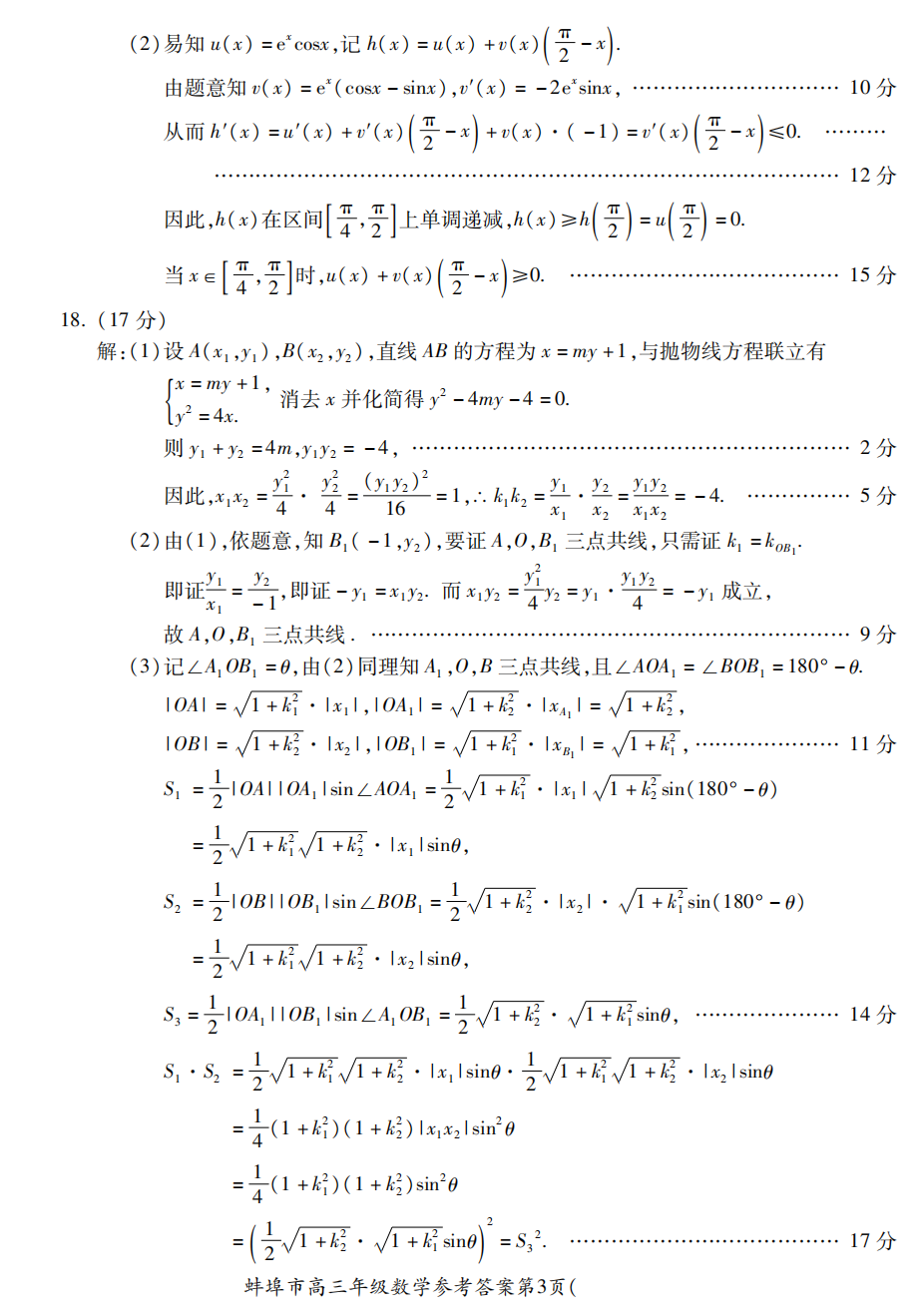
【全科】安徽省蚌埠市2026届高三4月适应性考试
2026-04-23 12:54:57文/李影







-
【全科】2026届重庆市第一中学高三下学期4月月考 【全科】2026届重庆市第一中学高三下学期4月月考
2026-04-23 -
【郑州二模全科】郑州市2026年高中毕业年级第二次质量预测 【郑州二模全科】郑州市2026年高中毕业年级第二次质量预测
2026-04-23 -
【广州二模全科】2026年广州市普通高中毕业班综合测试(二) 【广州二模全科】2026年广州市普通高中毕业班综合测试(二)
2026-04-23 -
【深圳二模】2026年深圳市高三年级第二次调研考试试卷及参考答案 【深圳二模】2026年深圳市高三年级第二次调研考试试卷及参考答案
2026-04-23 -
【太原二模】太原市2026年高三年级模拟考试二答案 【太原二模】太原市2026年高三年级模拟考试二答案
2026-04-23 -
2026石家庄高三二模答案 2026石家庄高三二模答案
2026-04-23 -
2026百师联盟高三4月22适应性模拟考试答案 2026百师联盟高三4月22适应性模拟考试答案
2026-04-23 -
【郑州二模】郑州市2026年高中毕业年级第二次质量预测全科下载 【郑州二模】郑州市2026年高中毕业年级第二次质量预测全科下载
2026-04-23
点击查看 蝶变志愿更多内容



