【邯郸二模】2026届高三第二次模拟检测全科下载
2026-04-24 13:43:19文/李影









-
【绵阳三诊】2026年高考适应性考试全科下载 【绵阳三诊】2026年高考适应性考试全科下载
2026-04-24 -
辽宁协作体2026年4月高考模拟考试全科下载 辽宁协作体2026年4月高考模拟考试全科下载
2026-04-24 -
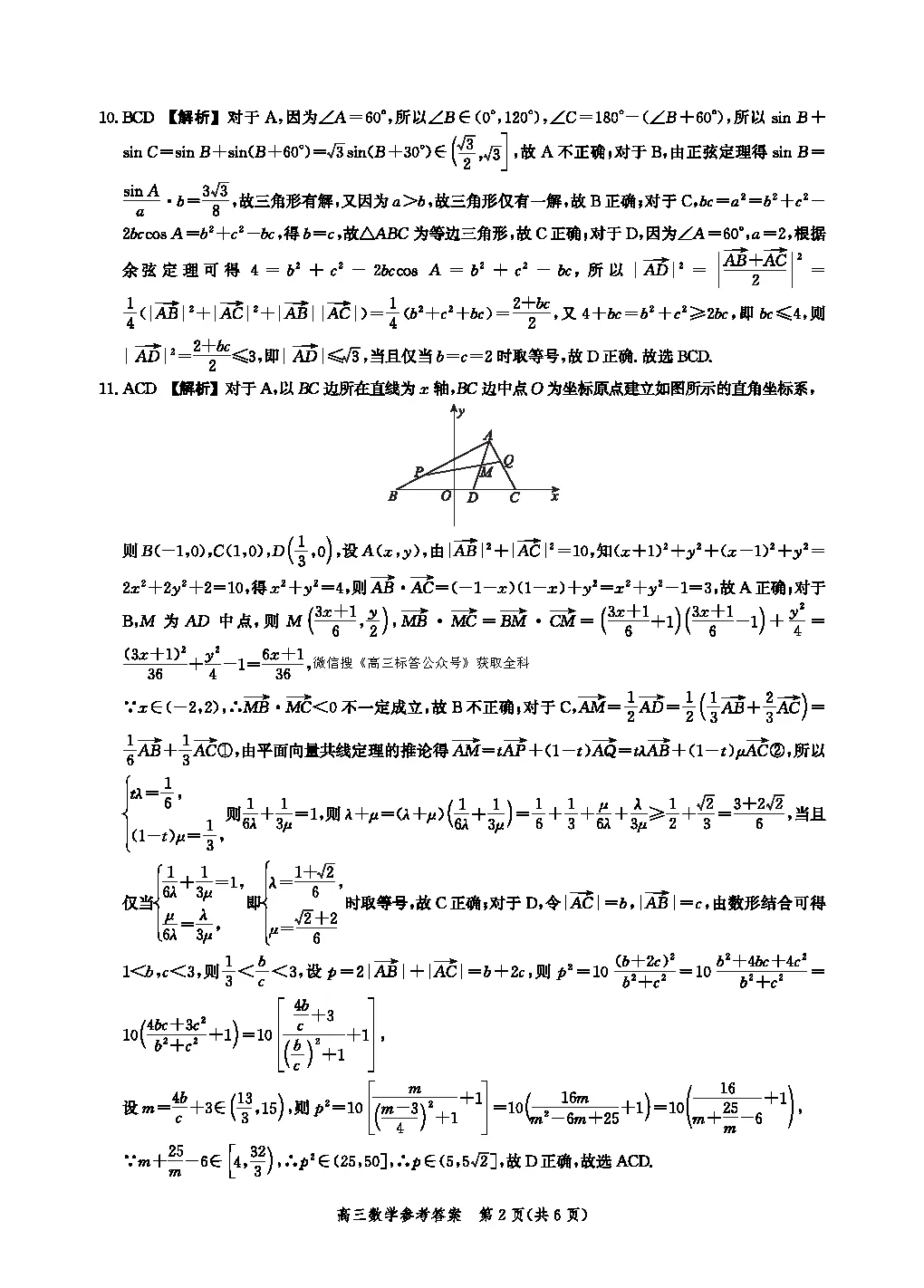
【石家庄二模】石家庄2026届普通高中毕业年级教学质量检测二语文、数学、英语、物理、历史答案 【石家庄二模】石家庄2026届普通高中毕业年级教学质量检测二语文、数学、英语、物理、历史答案
2026-04-24 -
2026百师联盟高三4月22适应性模拟考试全科下载 2026百师联盟高三4月22适应性模拟考试全科下载
2026-04-24 -
【广州二模】2026年广州市普通高中毕业班综合测试二官方答案 【广州二模】2026年广州市普通高中毕业班综合测试二官方答案
2026-04-24 -
【原版】2026天域全国名校协作体高三4月联考全科下载 【原版】2026天域全国名校协作体高三4月联考全科下载
2026-04-24 -
【广东二模】2026年普通高等学校招生全国统一考试模拟测试二全科下载 【广东二模】2026年普通高等学校招生全国统一考试模拟测试二全科下载
2026-04-24 -
【合肥二模】2026年合肥市高三第二次教学质量检测语文、数学、英语、物理、历史答案 【合肥二模】2026年合肥市高三第二次教学质量检测语文、数学、英语、物理、历史答案
2026-04-24
点击查看 蝶变志愿更多内容



