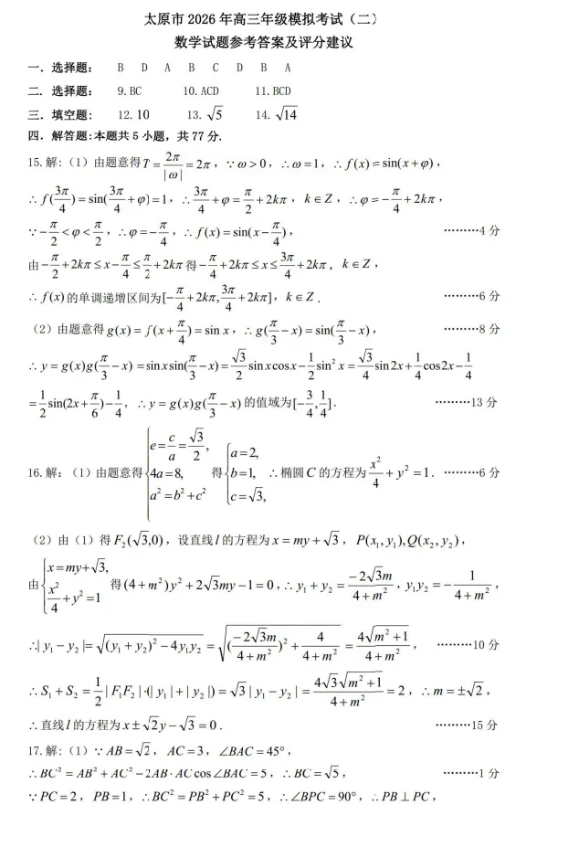
【西北卷】【山西卷】山西省太原市2026年高三年级模拟考试(二)(太原高三二模)(4.22-4.24) 数学物理英语语文历史日语试题卷+答案
2026-04-24 14:13:17文/丁雪竹















-
【江西卷】江西省南昌市2026届高三年级四月检测(南昌高三二模)(4.23-4.24) 数学物理语文历史试题卷+答案 【江西卷】江西省南昌市2026届高三年级四月检测(南昌高三二模)(4.23-4.24) 数学物理语文历史试题卷+答案
2026-04-24 -
【安徽卷】安徽省合肥市2026年合肥市高三第二次教学质量检测(合肥市高三二模)(4.22-4.24) 数学物理英语语文历史试题卷+答案 【安徽卷】安徽省合肥市2026年合肥市高三第二次教学质量检测(合肥市高三二模)(4.22-4.24) 数学物理英语语文...
2026-04-24 -
【河北卷】河北省石家庄市2026届普通高中毕业年级高三年级教学质量检测(二)(石家庄二模)(4.22-4.24)数学物理英语语文历史试题卷+答案 【河北卷】河北省石家庄市2026届普通高中毕业年级高三年级教学质量检测(二)(石家庄二模)(4.22-4.24)数学物理...
2026-04-24 -
【广东卷】广东省深圳市2026年深圳市高三年级第二次调研考试(深圳高三二模)(4.22-4.24) 数学物理英语语文历史试题卷+答案 【广东卷】广东省深圳市2026年深圳市高三年级第二次调研考试(深圳高三二模)(4.22-4.24) 数学物理英语语文历...
2026-04-24 -
【广东卷】广东省2026年普通高等学校招生全国统一考试高三年级模拟测试(二)(广东二模)(4.21-4.23) 全科试题卷+答案 【广东卷】广东省2026年普通高等学校招生全国统一考试高三年级模拟测试(二)(广东二模)(4.21-4.23) 全科试题...
2026-04-24 -
【河南卷】河南省南阳、三门峡、漯河、信阳、驻马店五市2026年高中毕业年级高三第二次质量监测(五市二模)(4.23-4.24)数学语文试题卷+答案 【河南卷】河南省南阳、三门峡、漯河、信阳、驻马店五市2026年高中毕业年级高三第二次质量监测(五市二模)(4.23-4....
2026-04-24 -
【河北卷】河北省张家口市2026届高三年级第二次模拟考试(张家口高三二模)(4.21-4.22) 全科试题卷+答案 【河北卷】河北省张家口市2026届高三年级第二次模拟考试(张家口高三二模)(4.21-4.22) 全科试题卷+答案
2026-04-24 -
【河北卷】河北省邯郸市2026届高三年级第二次模拟检测考试(邯郸高三二模)(4.21-4.22) 全科试题卷+答案 【河北卷】河北省邯郸市2026届高三年级第二次模拟检测考试(邯郸高三二模)(4.21-4.22) 全科试题卷+答案
2026-04-24
点击查看 蝶变志愿更多内容



