贵州省2026年4月高三年级适应性考试全科下载
2026-04-03 21:59:24文/李响











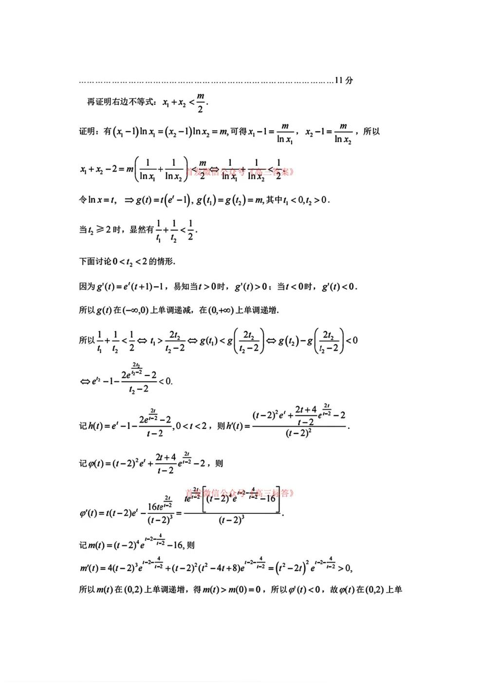
-
辽宁县级重点协作体2026高三4月测试卷下载 辽宁县级重点协作体2026高三4月测试卷下载
2026-04-03 -
江西省八所重点中学2026届高三4月联考下载 江西省八所重点中学2026届高三4月联考下载
2026-04-03 -
【新乡二模】青桐鸣高三4月联考全科下载 【新乡二模】青桐鸣高三4月联考全科下载
2026-04-03 -
九师联盟2025-2026学年高三核心模拟卷中五答案 九师联盟2025-2026学年高三核心模拟卷中五答案
2026-04-03 -
【全科】重庆市2026年普通高等学校招生全国统一考试康德调研(四) 【全科】重庆市2026年普通高等学校招生全国统一考试康德调研(四)
2026-04-01 -
【全科】湖南省常德市2026届高三年级3月模拟 【全科】湖南省常德市2026届高三年级3月模拟
2026-04-01 -
【全科】湖南省长沙市第一中学2026届高三下学期3月阶段检测(月考八) 【全科】湖南省长沙市第一中学2026届高三下学期3月阶段检测(月考八)
2026-04-01 -
【全科】2026届湖南天壹名校联盟高三下学期3月质检 【全科】2026届湖南天壹名校联盟高三下学期3月质检
2026-04-01
点击查看 蝶变志愿更多内容




