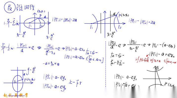
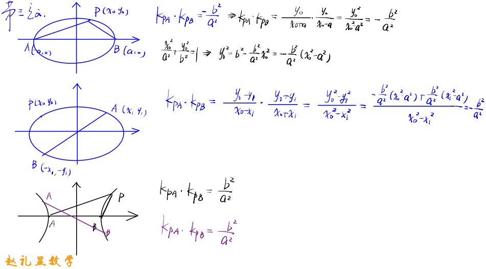
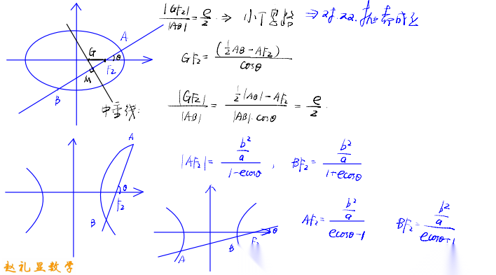
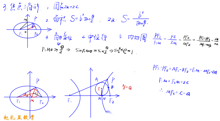
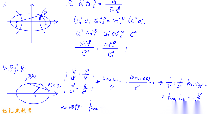
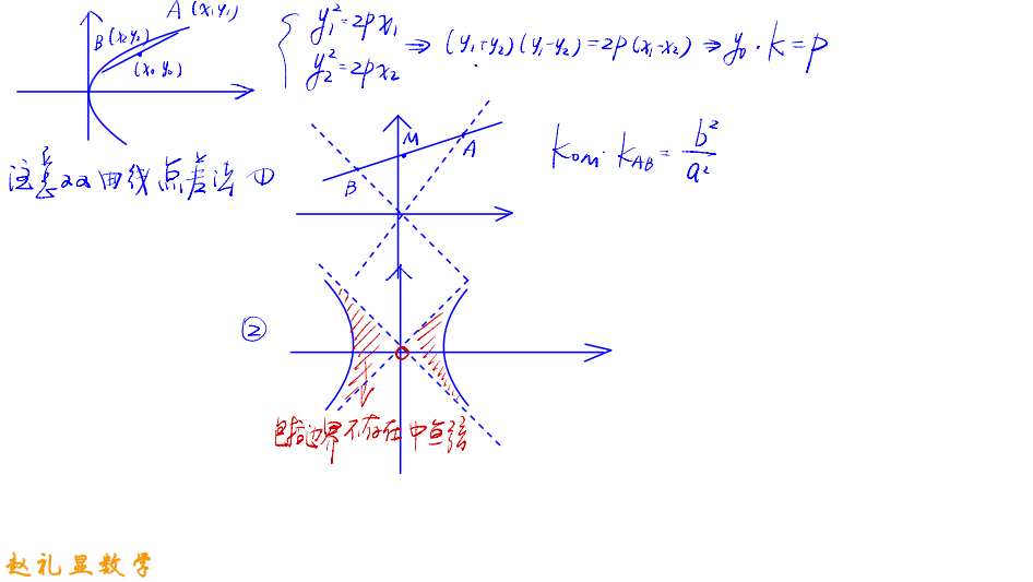
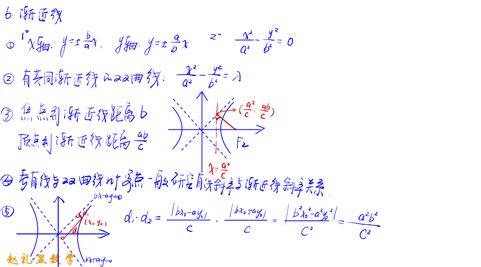
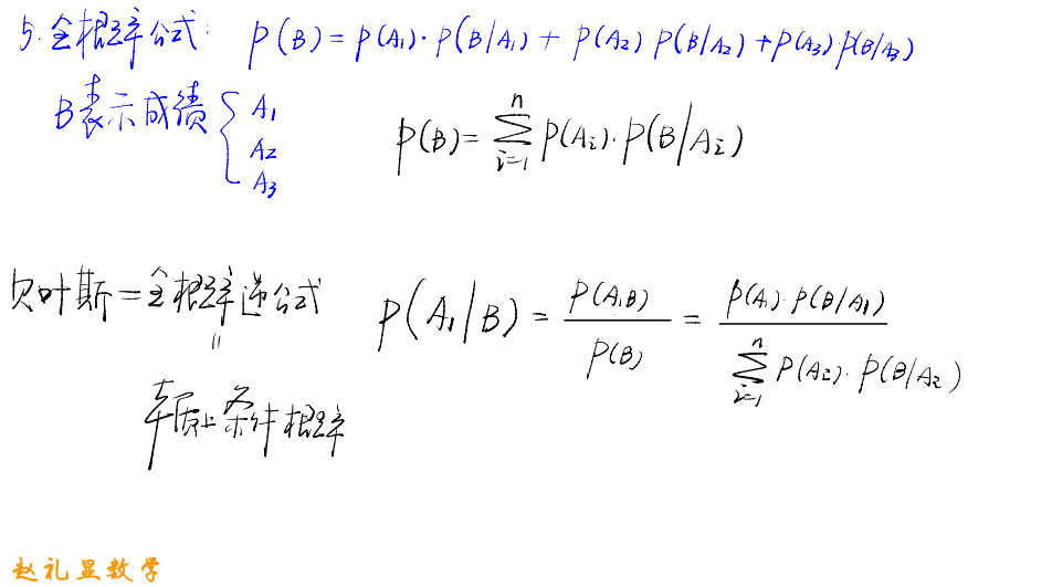
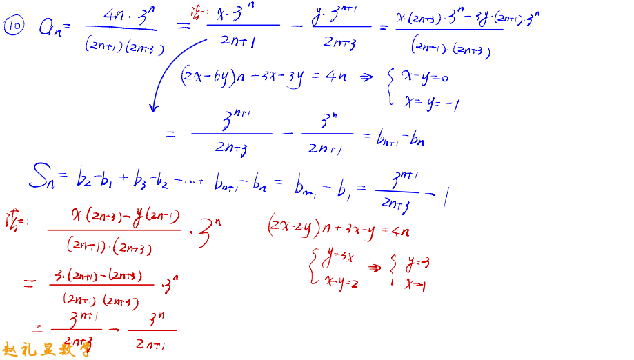
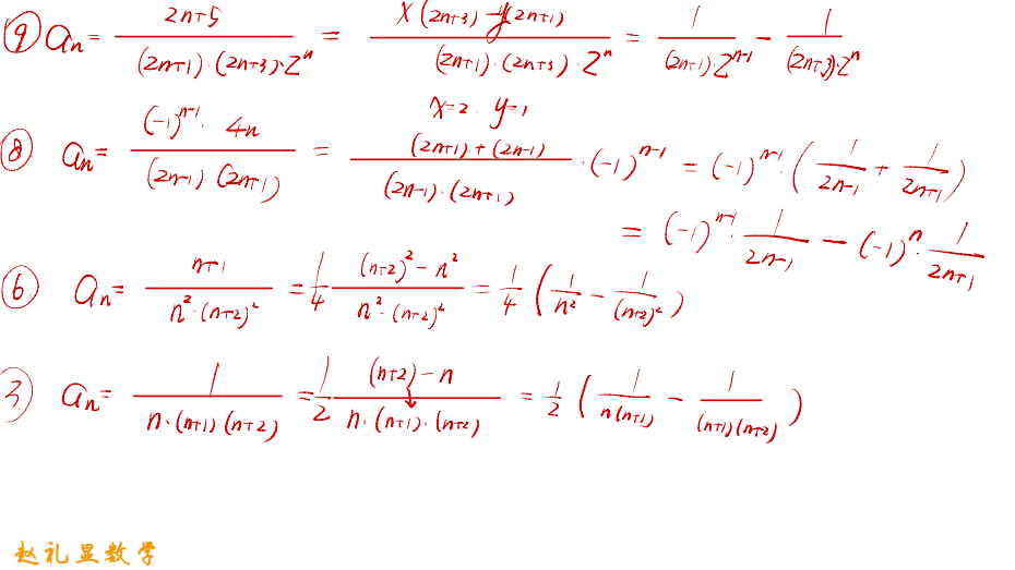
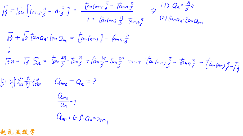
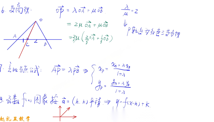
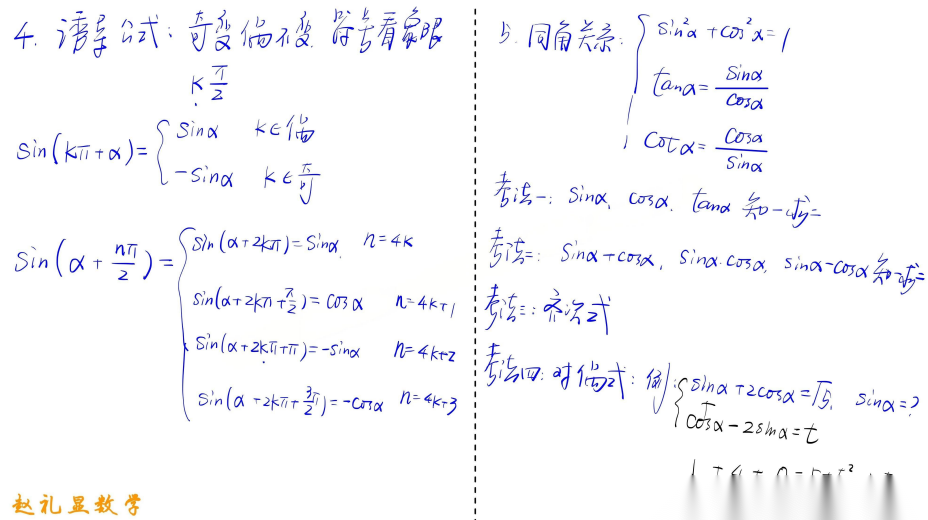
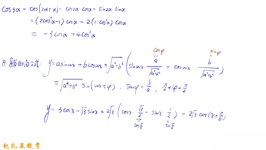
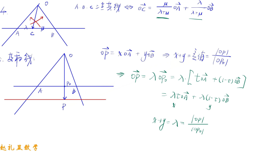
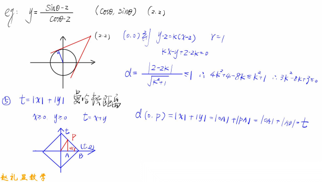
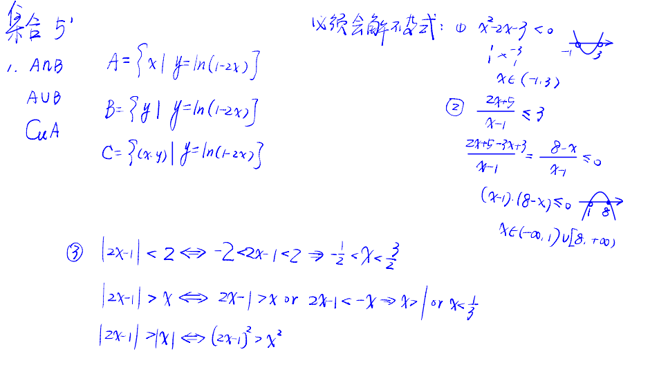
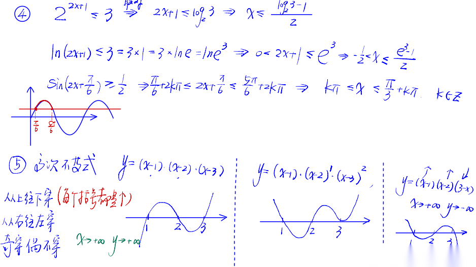
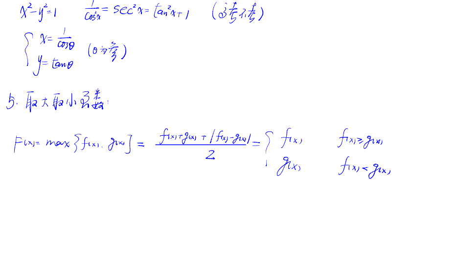
【高考数学】【名师赵礼显】【考前知识点笔记】高考数学考前突击---终极考前知识点梳理---七大板块知识点数理(完整版)
2026-03-18 09:32:42文/李铭










































-
【高中物理】【高考物理】高中物理巧学妙解王---快速提高物理成绩的奇书(李仲旭,赵岩,薛凯编著)(289页完整版) 【高中物理】【高考物理】高中物理巧学妙解王---快速提高物理成绩的奇书(李仲旭,赵岩,薛凯编著)(289页完整版)
2026-03-18 -
【高考数学】【圆锥曲线热点】高考数学圆锥曲线高考热点问题:定值、定点与面积解题攻略-系统数理热点问题完善三大问题(闻界老师编著) 【高考数学】【圆锥曲线热点】高考数学圆锥曲线高考热点问题:定值、定点与面积解题攻略-系统数理热点问题完善三大问题(闻界老...
2026-03-18 -
【独家】【高考物理】【三轮冲刺】【考前突击】2026高考物理三轮冲刺-考前突击十六大专题过关-56大题型讲义原卷版+解析版(纯净word版) 【独家】【高考物理】【三轮冲刺】【考前突击】2026高考物理三轮冲刺-考前突击十六大专题过关-56大题型讲义原卷版+解析...
2026-03-18 -
【四川卷】四川省内江市2026届高三年级第二次模拟考试试题(内江二诊)(3.16-3.18) 全科试题卷+答案 【四川卷】四川省内江市2026届高三年级第二次模拟考试试题(内江二诊)(3.16-3.18) 全科试题卷+答案
2026-03-18 -
【四川卷】四川省德阳市2023级(2026届)高三年级第二次诊断考试(德阳二诊)(3.16-3.18) 全科试题卷+答案 【四川卷】四川省德阳市2023级(2026届)高三年级第二次诊断考试(德阳二诊)(3.16-3.18) 全科试题卷+...
2026-03-18 -
【湖北卷】湖北省黄冈市2026年3月高三年级模拟考试(黄冈二模)(3.16-3.18) 数学语文试题卷+答案 【湖北卷】湖北省黄冈市2026年3月高三年级模拟考试(黄冈二模)(3.16-3.18) 数学语文试题卷+答案
2026-03-18 -
【山东卷】山东省青岛市2026年高三年级第一次适应性检测(青岛一模)(3.16-3.18) 数学语文试题卷+答案 【山东卷】山东省青岛市2026年高三年级第一次适应性检测(青岛一模)(3.16-3.18) 数学语文试题卷+答案
2026-03-18 -
【高考数学】高中数学速战解题策略.王思俭.江苏凤凰科学技术出版社,2021(217页完整版)(纯净word版+分章节docx+原版扫描版) 【高考数学】高中数学速战解题策略.王思俭.江苏凤凰科学技术出版社,2021(217页完整版)(纯净word版+分章节do...
2026-03-18
点击查看 蝶变志愿更多内容




