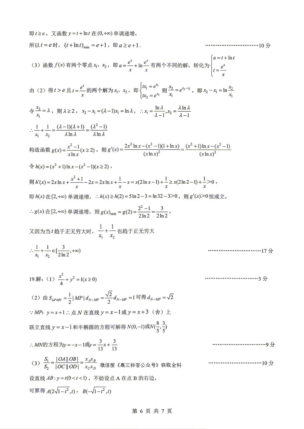
2026湖北新八校高三4月联考答案
2026-04-15 06:21:49文/李响










-
湖州、衢州、丽水2026年4月三地市高三教学质量检测答案 湖州、衢州、丽水2026年4月三地市高三教学质量检测答案
2026-04-15 -
甘肃2025-2026学年高三年级第三次诊断考试 甘肃2025-2026学年高三年级第三次诊断考试
2026-04-15 -
【乐山二调】乐山市2026届高三第二次调查研究考试 【乐山二调】乐山市2026届高三第二次调查研究考试
2026-04-15 -
【河池二模】河池市2026年普通高中毕业班统一模拟测试答案 【河池二模】河池市2026年普通高中毕业班统一模拟测试答案
2026-04-15 -
长沙市一中2026届高三月考试卷九答案 长沙市一中2026届高三月考试卷九答案
2026-04-15 -
【佛山二模】2025-2026学年佛上市高三教学质量检测二官方答案 【佛山二模】2025-2026学年佛上市高三教学质量检测二官方答案
2026-04-15 -
2026湖北新八校高三4月联考答案 2026湖北新八校高三4月联考答案
2026-04-15 -
【九江二模】九江市2026年第二次高考模拟统一考试答案 【九江二模】九江市2026年第二次高考模拟统一考试答案
2026-04-15
点击查看 蝶变志愿更多内容

